Radiation-induced crosslinking of polyethylenes under different media for construction and oil & gas applications
- Authors: Seitenova G.Z.1, Syzdyk A.G.2, Dyussova R.M.3, Baygazinov Z.A.4, Nurkassimov A.K.4, Kassymzhanov M.T.4
-
Affiliations:
- Association of Producers and Consumers of Petrogaschemical Products (Petrogaschemical Association)
- Eurasian National University
- Toraighyrov University
- Park of Nuclear Technologies
- Issue: Vol 8, No 1 (2026)
- Pages: 66-78
- Section: PHYSICO-CHEMICAL AND MICROBIOLOGICAL STUDIES
- URL: https://vestnik-ngo.kz/2707-4226/article/view/108888
- DOI: https://doi.org/10.54859/kjogi108888
- ID: 108888
Cite item
Full Text
Abstract
Background: Foamed polyethylene is widely used in construction and in the oil and gas industry as a thermal and acoustic insulation material. Its popularity stems from low thermal conductivity, moisture resistance, and chemical stability. However, its durability and long-term performance remain limited. Radiation crosslinking provides an effective modification method by creating a three-dimensional polymer network and improving resistance to degradation.
Aim: This study examines the effects of electron beam dose and gas atmosphere (air, argon, nitrogen) on the crosslinking degree of polyethylenes used in construction and oil and gas insulation.
Materials and methods: Polyethylene samples irradiated with electron beams at doses of 75, 125, and 175 kGy in three atmospheres: air, argon, and nitrogen. Crosslinking was evaluated through gel fraction analysis following GOST R 59112–2020. Structural changes were characterized by FTIR spectroscopy using Infralum FT-08 (Russia) and Shimadzu IR Spirit (Japan).
Results: Maximum crosslinking was observed at 125 kGy. Irradiation in inert atmospheres (argon and nitrogen) yielded higher gel fractions than in air, where degradation processes predominated. findings confirm a direct correlation between irradiation conditions and the structural stability of polyethylene.
Conclusion: Radiation crosslinking significantly improves the performance of polyethylene by enhancing its thermal, chemical, and mechanical resistance. This approach can be recommended for producing long-lasting insulation and protective materials in both construction and oil and gas applications.
Full Text
Введение
Одним из эффективных методов улучшения свойств полиэтилена (далее – ПЭ) является радиационная сшивка, при которой под воздействием ионизирующего излучения в структуре полимера формируются поперечные связи, повышающие его термостойкость и механическую прочность. Такой подход имеет преимущество по сравнению с химическими методами, поскольку позволяет избежать ввода посторонних реагентов и лучше контролировать степень сшивки [1, 2].
Дополнительное подтверждение эффективности поперечного сшивания как метода повышения эксплуатационных характеристик термопластов демонстрируется и на других классах полимеров. Например, в работе [1] показана возможность формирования динамических поперечных связей в полиэтилентерефталате при помощи Zn(II)-координационных взаимодействий, что приводит к увеличению термической стабильности и модифицируемости материала.
Обзор [2] подчёркивает значимость сшивки ПЭ для таких применений, как упаковка, трубы, строительная теплоизоляция и технические покрытия, а также анализирует различные методы – пероксидный, силановый, электронно-лучевой – с точки зрения их влияния на структуру, переработку и повторное использование полимеров.
Радиационная сшивка ПЭ позволяет существенно повысить его термическую стабильность, жёсткость и химическую стойкость, что делает данный метод особенно перспективным для получения долговечных строительных изоляционных материалов. В отличие от химической модификации, радиационный способ обеспечивает более равномерное распределение поперечных связей и снижает риск ввода посторонних примесей [1, 2].
В работах [3, 4] показано, что электронное облучение вызывает не только сшивку, но и структурные перестройки в полимерных материалах, включая образование дефектов, изменение диэлектрических свойств и повышение кристалличности. Эти эффекты зависят от типа полимера, дозы излучения и условий внешней среды. Так, в работе [3] рассмотрены особенности радиационной модификации нескольких полимеров под действием пучка электронов, а в работе [4] продемонстрировано изменение диэлектрических свойств в зависимости от энергии ионизирующего излучения.
Для оценки степени сшивки в полимерах широко используется определение содержания гель-фракции – нерастворимой части полимера, образующейся в результате поперечного сшивания. Повышение доли гель-фракции свидетельствует об эффективной модификации и структурной перестройке материала. Исследования [5, 6] подтверждают, что гелеобразование и плотность сшитых сетей напрямую влияют на кристалличность, механическую прочность и перерабатываемость ПЭ, в т.ч. ультравысокомолекулярного.
Таким образом, количественный анализ гель-фракции и структурные исследования (инфракрасная (далее – ИК) спектроскопия с преобразованием Фурье, термические методы) представляют собой надёжную основу для оценки эффективности радиационной модификации ПЭ.
Дополнительные исследования показывают, что при воздействии тепла, ионизирующего и УФ-излучения на ПЭ, происходят процессы окисления, разрушения антиоксидантных добавок и деструкции молекулярной структуры [7–10]. Это приводит к снижению диэлектрической прочности, хрупкости и потере механических характеристик, особенно в длительных эксплуатационных условиях.
Для повышения стабильности тепло- и звукоизоляционных материалов на основе ПЭ применяются радиационно модифицированные композиции, демонстрирующие повышенную устойчивость к внешним воздействиям. Однако даже такие материалы требуют оптимизации состава и условий обработки. В ряде исследований [7–10] подчёркивается, что совместное воздействие температуры и излучения ускоряет процессы деструкции, и только правильно подобранный режим модификации способен эффективно замедлить старение полимерной структуры.
Материалы и методы
Метод ИК-Фурье спектроскопии (далее – FTIR, англ. Fourier Transform Infrared Spectroscopy) широко используется для оценки степени структурных изменений в ПЭ под действием радиации. FTIR позволяет отслеживать как образование поперечных связей, так и появление продуктов деструкции – ненасыщенных и окисленных фрагментов [11–14]. Согласно исследованию [12], даже после завершения облучения в ПЭ продолжается медленное окисление, особенно в кислородной среде. Это подчёркивает важность применения инертных газов для стабилизации материала. Работа [11] демонстрирует высокую чувствительность FTIR для диагностики дозовых эффектов при электронном и γ-облучении, а исследования [13, 14] подтверждают универсальность метода для оценки процессов старения и деструкции ПЭ. Таким образом, радиационная сшивка ПЭ с последующим контролем структуры и степени модификации представляет собой перспективное направление повышения надёжности и долговечности строительных тепло- и звукоизоляционных материалов на полимерной основе.
Вспененный ПЭ, прошедший радиационную сшивку, находит широкое применение в нефтегазовой отрасли благодаря своим теплоизоляционным, химически стойким и водоотталкивающим свойствам. Такие материалы используются для изоляции трубопроводов, в т.ч. магистральных и подземных, что позволяет снижать теплопотери, защищать от коррозии и минимизировать влияние агрессивных сред. Кроме того, вспененные полиэтиленовые оболочки применяются в составе предизолированных труб при строительстве технологических систем на нефтеперерабатывающих заводах и газораспределительных станциях. Использование этого метода модификации обеспечивает повышенную долговечность, устойчивость к температурным перепадам и механическим нагрузкам, что делает его эффективным решением в условиях экстремальных климатических и эксплуатационных факторов.
Экспериментальная часть
Цель исследования – определить влияние дозы электронного облучения и газовой среды (воздух, аргон, азот) на степень сшивки ПЭ, используемого в строительной тепло- и звукоизоляции.
Для достижения поставленной цели были сформулированы следующие задачи:
- провести облучение образцов ПЭ (ПЭ 153-10К, ПЭ-1, ПЭ-2, ПЭ-3) в различных газовых средах при дозах 75, 125 и 175 кГр;
- оценить степень сшивки материалов по содержанию гель-фракции согласно ГОСТ Р 59112-20201;
- исследовать изменения в структуре полимеров с помощью FTIR;
- установить оптимальные условия облучения, обеспечивающие максимальную степень сшивки при минимальной деструкции.
В качестве объектов исследования использовались образцы ПЭ, применяемые в производстве строительных тепло- и звукоизоляционных материалов: ПЭ 153-10К, ПЭ-1, ПЭ-2 и ПЭ-3. Образцы имели форму полосок с размерами не менее 25×70, 25×90 и 40×130 мм, по 9 экземпляров каждого типа. Перед облучением материалы были отобраны в соответствии с их маркировкой и предназначением, после чего промаркированы.
Облучение проводилось на ускорителе электронов ЭЛВ-42 (АО «Парк ядерных технологий», г. Курчатов, Казахстан) при трёх различных дозах: 75, 125 и 175 кГр. Облучение осуществлялось в трёх средах – воздух, азот и аргон. Для создания инертных условий образцы герметично упаковывались в пакеты, которые предварительно продувались соответствующим газом и затем запаивались. Это позволило исключить контакт с кислородом и тем самым минимизировать окислительные процессы во время облучения.
После облучения проводилась оценка степени сшивки, основанная на определении содержания гель-фракции согласно ГОСТ Р 59112-2020. Подготовка включала измельчение образцов до размеров не более 0,5 мм с толщиной около 0,2 мм. Образцы извешивались с точностью до 0,1 мг и погружались в 100 мл ксилола (смесь изомеров с чистотой ≥ 98%, температура кипения 137–144°C), содержащего 1% антиоксиданта (2,2-метилен-бис(4-метил-6-трет-бутилфенол)). Экстракция проводилась в круглодонной колбе с обратным холодильником в течение 8 ч, после чего образцы высушивались в сушильном шкафу при температуре 140 ± 2°C в течение не менее 3 ч.
После сушки образцы охлаждали до комнатной температуры и повторно взвешивали. Степень сшивки рассчитывали как отношение массы нерастворимого остатка (гель-фракции) к первоначальной массе образца. Параллельно проводился анализ растворимой части – золь-фракции, которая представляет собой низкомолекулярные продукты деструкции.
Для спектроскопического анализа использовался метод FTIR. Образцы анализировались на двух приборах: Инфралюм ФТ-08 (Россия) с алмазной приставкой GladiATR (PIKE Technologies, США) и Shimadzu IR Spirit (Япония). Спектры регистрировались в диапазоне 4000–400 см–1 при разрешении 2,0 см–1, с 20 сканированиями для каждого образца. Исследования проводились как с поверхностей («верх» и «низ»), так и со срезов, в случае, если материал был слишком твёрдым. Анализ проводился в лабораториях Евразийского национального университета им. Л.Н. Гумилёва (г. Астана, Казахстан).
Дополнительно были сняты ИК-спектры золь-фракции и растворителей (ксилол, этанол) для исключения их влияния. Спектральные характеристики позволили определить наличие двойных связей (C=C), гидроксильных групп (OH) и других фрагментов, указывающих на процессы деструкции или сшивки.
Результаты и обсуждение
В ходе проведённых исследований установлено, что в процессе электронного облучения ПЭ одновременно протекают два конкурирующих механизма – сшивка макромолекул (образование поперечных связей) и деструкция (разрыв основных цепей). Баланс между ними зависит от дозы облучения, состава газовой среды и структуры исходного полимера.
Влияние дозы облучения на степень сшивки
Для всех исследуемых ПЭ при увеличении дозы от 0 до 125 кГр наблюдается рост содержания гель-фракции, что свидетельствует о доминировании процессов сшивки. Например, у ПЭ 153-10К, облучённого в азоте, доля гель-фракции увеличивается с 60,7% (0 кГр) до 72,5% (125 кГр). Однако при дальнейшем повышении дозы до 175 кГр степень сшивки уменьшается (до 61,4%), что указывает на начало преобладания деструктивных процессов. Подобная U-образная зависимость типична для алкановых полимеров, т.к. на высоких дозах разрушаются уже сшитые участки макромолекул, образуя растворимые фрагменты. Рост доли гель-фракции с увеличением дозы от 0 до 125 кГр, а также её последующее снижение при 175 кГр демонстрируют U-образную зависимость (табл. 2).
Таблица 1. Дозы облучения, масса и размеры образцов полиэтилена в различных газовых средах
Table 1. Irradiation doses, mass, and dimensions of polyethylene samples in different gaseous media
Наименование ПЭ PE grade | Дозы облучения, кГр Irradiation dose, kGy | В азоте In nitrogen | В аргоне In argon | Без защитной среды Without protective atmosphere | |||
масса, г mass, g | длина, мм length, mm | масса, г mass, g | длина, мм length, mm | масса, г mass, g | длина, мм length, mm | ||
ПЭ-1 PE-1 | 75 | 12,3 | 70 | 12,8 | 70 | 12,5 | 70 |
125 | 15,5 | 90 | 16,1 | 90 | 14,8 | 90 | |
175 | 12,2 | 130 | 12,7 | 130 | 13 | 130 | |
ПЭ-2 PE-2 | 75 | 9,5 | 70 | 10 | 70 | 9,8 | 70 |
125 | 12,4 | 90 | 13,4 | 90 | 12,8 | 90 | |
175 | 28 | 130 | 28,3 | 130 | 27,7 | 130 | |
ПЭ-3 PE-3 | 75 | 5,05 | 70 | 5,35 | 70 | 4,95 | 70 |
125 | 6,86 | 90 | 7,75 | 90 | 7,2 | 90 | |
175 | 17,9 | 130 | 17,5 | 130 | 17 | 130 | |
ПЭ 153-10К PE 153-10K | 75 | 8 | 70 | 9,65 | 70 | 9,30 | 70 |
125 | 11,2 | 90 | 9,3 | 90 | 11,2 | 90 | |
175 | 26,75 | 130 | 22,7 | 130 | 19,75 | 130 | |
Всего 108 образцов: по 3 экземпляра для каждой комбинации материала, дозы и среды (36 вариантов × 3 повторности = 108).
A total of 108 samples were prepared: three replicates for each combination of material, irradiation dose, and atmosphere (36 variants × 3 replicates = 108).
Таблица 2. Масса образцов, содержание гель- и золь-фракций полиэтилена после электронного облучения в различных газовых средах
Table 2. Sample mass, gel and sol fraction content of polyethylene after electron irradiation in different gaseous media
Наименование ПЭ PE grade | Условия Conditions | Доза облучения, кГр Irradiation dose, kGy | Масса образца исходная, г Initial sample mass, g | Масса гель-фракции, г Gel fraction mass, g | Масса золь-фракции, г Sol fraction mass, g | Доля гель-фракции Gel fraction content | Доля золь-фракции Sol fraction content |
ПЭ 153-10К PE 153-10K | воздух air | 0 | 0,5722 | 0,3475 | 0,2247 | 0,6073 | 0,3927 |
75 | 0,5454 | 0,3694 | 0,176 | 0,6773 | 0,3227 | ||
125 | 0,5023 | 0,364 | 0,1383 | 0,7247 | 0,2753 | ||
175 | 0,5064 | 0,2965 | 0,2099 | 0,5855 | 0,4145 | ||
азот nitrogen | 75 | 0,5101 | 0,3251 | 0,185 | 0,6373 | 0,3627 | |
125 | 0,501 | 0,3264 | 0,1746 | 0,6514 | 0,3486 | ||
175 | 0,5048 | 0,3102 | 0,1946 | 0,6145 | 0,3855 | ||
аргон argon | 75 | 0,5024 | 0,3473 | 0,1551 | 0,6912 | 0,3088 | |
125 | 0,5111 | 0,3028 | 0,2083 | 0,5924 | 0,4076 | ||
175 | 0,5 | 0,3106 | 0,1894 | 0,6213 | 0,3787 | ||
ПЭ-1 PE-1 | воздух air | 0 | 0,5003 | 0,2119 | 0,2884 | 0,4235 | 0,5765 |
75 | 0,5014 | 0,25 | 0,2514 | 0,4987 | 0,5013 | ||
125 | 0,5047 | 0,29 | 0,2147 | 0,5745 | 0,4255 | ||
175 | 0,5012 | 0,2007 | 0,3005 | 0,4005 | 0,5995 | ||
азот nitrogen | 75 | 0,5006 | 0,2961 | 0,2045 | 0,5914 | 0,4086 | |
125 | 0,5019 | 0,2702 | 0,2317 | 0,5384 | 0,4616 | ||
175 | 0,5003 | 0,2129 | 0,2874 | 0,4256 | 0,5744 | ||
аргон argon | 75 | 0,5091 | 0,2 | 0,3091 | 0,3929 | 0,6071 | |
125 | 0,5007 | 0,2379 | 0,2628 | 0,4752 | 0,5248 | ||
175 | 0,5027 | 0,1986 | 0,3041 | 0,3951 | 0,6049 | ||
ПЭ-2 PE-2 | воздух air | 0 | 0,5006 | 0,2771 | 0,2235 | 0,5535 | 0,4465 |
75 | 0,5008 | 0,3211 | 0,1797 | 0,6412 | 0,3588 | ||
125 | 0,5012 | 0,3503 | 0,1509 | 0,6989 | 0,3011 | ||
175 | 0,5009 | 0,2361 | 0,2648 | 0,4714 | 0,5286 | ||
азот nitrogen | 75 | 0,5003 | 0,3502 | 0,1501 | 0,6999 | 0,3001 | |
125 | 0,5017 | 0,3588 | 0,1429 | 0,7151 | 0,2849 | ||
175 | 0,5008 | 0,3016 | 0,1992 | 0,6022 | 0,3978 | ||
аргон argon | 75 | 0,5005 | 0,3666 | 0,1339 | 0,7325 | 0,2675 | |
125 | 0,5002 | 0,3224 | 0,1778 | 0,6445 | 0,3555 | ||
175 | 0,5001 | 0,3167 | 0,1834 | 0,6332 | 0,3668 | ||
ПЭ-3 PE-3 | воздух air | 0 | 0,5013 | 0,198 | 0,3033 | 0,3949 | 0,6051 |
75 | 0,5006 | 0,2486 | 0,252 | 0,4967 | 0,5033 | ||
125 | 0,5009 | 0,2538 | 0,2471 | 0,5067 | 0,4933 | ||
175 | 0,5001 | 0,213 | 0,2871 | 0,4259 | 0,5741 | ||
азот nitrogen | 75 | 0,501 | 0,2698 | 0,2312 | 0,5386 | 0,4614 | |
125 | 0,5002 | 0,2767 | 0,2235 | 0,5532 | 0,4468 | ||
175 | 0,5006 | 0,2414 | 0,2592 | 0,4823 | 0,5177 | ||
аргон argon | 75 | 0,5008 | 0,176 | 0,3248 | 0,3514 | 0,6486 | |
125 | 0,5007 | 0,2503 | 0,2504 | 0,4999 | 0,5001 | ||
175 | 0,5003 | 0,231 | 0,2693 | 0,4617 | 0,5383 | ||
ПЭ сшитый Силанол СИП Silane-crosslinked PE (SSIW) | 0 | 0,5014 | 0,2068 | 0,2946 | 0,4125 | 0,5875 | |
Сшитый ПЭ пероксидный Peroxide-crosslinked PE | 0 | 0,552 | 0,1862 | 0,3658 | 0,3374 | 0,6626 | |
СИП / SSIW – самонесущий изолированный провод / self-supporting insulated wire
Влияние газовой среды на эффективность сшивки
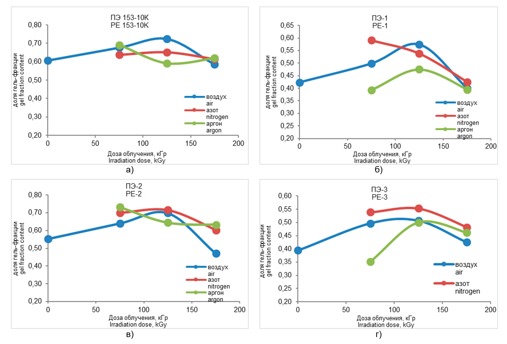
Наличие кислорода в воздушной среде приводит к интенсификации процессов окислительной деструкции, особенно при высоких дозах. Так, в воздухе при 175 кГр содержание гель-фракции у ПЭ 153-10К составляет 58,5%, тогда как при тех же условиях в аргоне – 62,1%, а в азоте – 61,4%. Это подтверждает, что инертные среды (аргон, азот) позволяют повысить эффективность радиационной сшивки и замедлить разрушение цепей. Сводный график зависимости степени сшивки от дозы облучения для всех образцов в различных средах представлен на рис. 1.
Рисунок 1. ИК-зависимость доли гель-фракции от дозы облучения в различных средах
Figure 1. FTIR dependence of gel fraction content on irradiation dose in different media
а) ПЭ 153-10К / PE 153-10K; б) ПЭ-1 / PE-1; в) ПЭ-2 / PE-2; г) ПЭ-3 / PE-3
Различия между аргоном и азотом минимальны, однако в отдельных случаях (например, у ПЭ-2) аргон обеспечивает чуть более высокие значения гель-фракции, что может быть связано с большей плотностью и более эффективным вытеснением кислорода из образца.
Все образцы показали различную степень восприимчивости к радиационной обработке:
- ПЭ 153-10К продемонстрировал устойчивую и высокую степень сшивки. При дозе 125 кГр в аргоне достигнуто 59,2–69,1% гель-фракции. Это свидетельствует о высокой пригодности данного материала для электронно-лучевой модификации;
- ПЭ-1 показал более низкие значения: в воздухе при 175 кГр гель-фракция составила всего 40,0%, а в аргоне – 39,5%. Это может говорить о присутствии в материале добавок или структурных дефектов, препятствующих эффективному образованию поперечных связей;
- ПЭ-2 проявил наилучшие показатели среди всех образцов: при 125 кГр в аргоне степень сшивки составила 73,2% и даже при 175 кГр осталась выше 63%, что указывает на термостабильность и химическую устойчивость данного полимера к ионизирующему излучению;
- ПЭ-3, несмотря на эластичную структуру, также поддаётся радиационной сшивке: в азоте при 125 кГр достигнуто 55,3% гель-фракции, при этом исходный уровень сшивки у него был низким (менее 40%), что объясняет его гибкость и резиновидные свойства.
FTIR как подтверждение процессов
ИК-спектры гель-фракции всех образцов содержат характерные полосы поглощения ПЭ:
- валентные колебания C–H: 2920 и 2850 см–1;
- деформационные колебания: 1470, 1377, 729 см–1.
На рис. 2–5 представлены ИК-спектры гель-фракций материалов после экстракции. К сожалению, пластичный материал практически не поддаётся растиранию и плохо смешивается с бромидом калия, что значительно ухудшило качество спектров, однако на них видны основные характерные линии поглощения для ПЭ.
Рисунок 2. ИК-спектр ПЭ 153-10К 175кГр. 5/10
Figure 2. FTIR spectrum of PE 153-10K, 175 kGy, 5/10
Рисунок 3. ИК-спектр ПЭ 153-10К 175 кГр. 5/9
Figure 3. FTIR spectrum of PE 153-10K, 175 kGy, 5/9
Рисунок 4. ИК-спектр ПЭ 153-10К Аргон. 175 кГр. 5/6
Figure 4. FTIR spectrum of PE 153-10K, argon, 175 kGy, 5/6
Рисунок 5. ИК-спектр ПЭ-1. Аргон. 175 кГр. 10/6
Figure 5. FTIR spectrum of PE-1, argon, 175 kGy, 10/6
Как видно из спектров, присутствуют характерные линии поглощения для ПЭ в диапазонах валентных колебаний С-Н 2920 и 2850 и 1470–1435 см–1, а также деформационных колебаний С-Н в диапазоне 720–729 см–1. ИК-спектр ПЭ-1 (аргон, 175 кГр, 10/6) отличается тем, что проявились линии поглощения, характерные для спирта, – «горб» в области 3600–3200 см–1 колебаний гидроксильной группы и 1430 см–1.
На спектрах золь-фракций наблюдаются полосы, характерные для ненасыщенных связей (C=C) в диапазонах 985, 931, 2885 см–1, указывающие на образование продуктов деструкции – короткоцепочечных фрагментов. Это подтверждает, что при дозе 175 кГр происходит разрушение основного скелета полимера.
На рис. 6–9 представлены ИК-спектры растворов золь-фракции.
Рисунок 6. ИК-спектр ПЭ 153-10К 175 кГр. 5/10
Figure 6. FTIR spectrum of PE 153-10K, kGy, 5/10
Рисунок 7. ИК-спектр ПЭ 153-10К. 175 кГр. 5/9
Figure 7. FTIR spectrum of PE 153-10K, 175 kGy, 5/9
Рисунок 8. ИК-спектр ПЭ 153-10К. Аргон. 175 кГр. 5/6
Figure 8. FTIR spectrum of PE 153-10K, argon, 175 kGy, 5/6
Рисунок 9. ИК-спектр ПЭ-1. Аргон. 175 кГр. 10/6
Figure 9. FTIR spectrum of PE-1, argon, 175 kGy, 10/6
Как видно из ИК-спектров экстракта полимеров, основные линии поглощения свойственны для растворителя ксилол, а именно: 3107, 3066, 3017, 2923, 2875, 1120, 1053, 1021, 741, 433 см–1. Данные линии присутствуют на всех спектрах всех образцов.
В спектрах ПЭ-1 (аргон, 175 кГр, 10/6), ПЭ 153-10К (аргон, 175 кГр, 5/6) и ПЭ 153-10К (175 кГр, 5/9) присутствуют линии поглощения, характерные для этилового спирта, а именно: 3356, 2973, 2884, 1051 см–1. Спирт, видимо, сохранился после промывки образца.
В образце ПЭ 153-10К (контроль, 5/10) присутствуют полосы поглощения ксилола без спирта.
Полосы поглощения ПЭ (алканов) совпадают как с ксилолом, так и со спиртом, а именно С-Н и С-С связи. Такие колебания наблюдаются в области 2800–3000, 1463 и 1377 см–1. Однако в спектрах ПЭ-1 (аргон, 175 кГр, 10/6), ПЭ 153-10К (аргон, 175 кГр, 5/6), ПЭ 153-10К (175 кГр, 5/9) и ПЭ 153-10К (контроль, 5/10) фиксируются полосы поглощения, не совпадающие со спиртом и ксилолом: 2980–2885, 659, 2579, 880 и 670–505, 2864, 2762, 2731, 2576, 2346, 2277, 1943, 1496, 1466, 1383 см–1. Это свидетельствует о наличии в растворе золь-фракций, представляющих собой короткие цепи ПЭ. Следует отметить появление таких полос поглощения, как 985, 931, а также 2885 см–1, соответствующих колебаниям ненасыщенной связи С=С. Это обусловлено разрывом ковалентной связи С–С основной цепи полимера под воздействием излучения и образованием золь-фракций. В случае деструкции цепи осколки полимера растворяются в растворителе (экстрагируются) в виде золь-фракции.
Дополнительно, на некоторых спектрах зафиксированы полосы OH-групп (в диапазоне 3200–3500 см–1), что может быть связано с остатками этанола, использованного при промывке, или с образованием гидроксильных радикалов в процессе окисления.
Заключение
Таким образом, установлено, что при радиационной обработке ПЭ одновременно протекают процессы сшивки и деструкции макромолекул. Баланс между ними определяется дозой облучения и составом окружающей среды:
- оптимальной дозой электронного облучения для достижения максимальной степени сшивки является 125 кГр. При этой дозе гель-фракция достигает максимальных значений (до 73,2%), тогда как при дозе 175 кГр наблюдается снижение из-за преобладания деструктивных процессов;
- наиболее эффективным условием для радиационной сшивки является облучение в инертной среде (аргон или азот), при котором минимизируется окислительная деструкция. В воздушной среде степень сшивки значительно ниже из-за воздействия кислорода;
- разные марки ПЭ демонстрируют различную устойчивость к ионизирующему излучению. ПЭ-2 и ПЭ 153-10К показали наибольшие значения гель-фракции и наименьшую чувствительность к деструкции, тогда как ПЭ-1 проявил меньшую устойчивость;
- результаты FTIR подтвердили образование поперечных связей (характерные полосы C–H) и наличие продуктов деструкции (появление полос, соответствующих C=C и OH-группам), что согласуется с результатами гравиметрического анализа.
Таким образом, проведённое исследование демонстрирует возможность эффективной радиационной модификации ПЭ, используемых в строительной тепло- и звукоизоляции, и позволяет обоснованно рекомендовать оптимальные условия обработки для повышения эксплуатационной устойчивости и долговечности этих материалов.
ДОПОЛНИТЕЛЬНО
Источник финансирования. Данное исследование финансируется в рамках программно-целевого финансирования Комитетом по науке Министерства науки и высшего образования Республики Казахстан (Грант № «BR24992883 Создание научно-технологического парка нефтехимии и полимерных материалов для предоставления услуг, и внедрения прикладных результатов НИР в приоритетные сектора экономики страны»).
Конфликт интересов. Авторы декларируют отсутствие явных и потенциальных конфликтов интересов, связанных с публикацией настоящей статьи.
Благодарность. Авторы выражаю благодарность Толкимбаеву Габиту Аждаровичу – Генеральному директору ОЮЛ «Ассоциация производителей и потребителей нефтегазохимической продукции (Нефтегазохимическая Ассоциация)».
Вклад авторов. Все авторы подтверждают соответствие своего авторства международным критериям ICMJE (все авторы внесли существенный вклад в разработку концепции, проведение исследования и подготовку статьи, прочли и одобрили финальную версию перед публикацией). Наибольший вклад распределён следующим образом: Сейтенова Г.Ж. – концепция исследования, окончательное научное заключение и утверждение итоговой версии статьи; Сыздық А.Ғ. – сбор и обработка данных, написание текста; Дюсова Р.М. – анализ полученных экспериментальных данных; Байгазинов Ж.А. – постановка задачи, методическая поддержка; Нуркасимов А.К. – проведение экспериментов, визуализация результатов; Касымжанов М.Т. – анализ литературных источников, научное редактирование.
ADDITIONAL INFORMATION
Funding source. This work was supported by the Committee of Science of the Ministry of Science and Higher Education of the Republic of Kazakhstan through program-targeted funding (Grant No. BR24992883 “Establishment of a scientific and technological park for petrochemicals and polymer materials to provide services and implement applied R&D results in the priority sectors of the national economy”).
Competing interests. The authors declare that they have no competing interests.
Acknowledgment. The authors thank Gabit Azhdarovich Tolkimbayev, General Director of the Association of Producers and Consumers of Petrochemical Products (Petrochemical Association), for his support.
Authors' contribution. All authors made a substantial contribution to the conception of the work, acquisition, analysis, interpretation of data for the work, drafting and revising the work, final approval of the version to be published and agree to be accountable for all aspects of the work. The greatest contribution is distributed as follows: Gaini Seitenova – research concept, final scientific conclusion, and approval of the final version of the article; Ayazhan Syzdyk – data collection and processing, manuscript writing; Rizagul Dyussova – experimental data analysis; Zhanat Baygazinov – problem formulation, methodological support; Azat Nurkassimov – experimental work, results visualization; Marat Kassymzhanov – literature analysis, scientific editing.
1 ГОСТ Р 59112-2020 (ИСО 10147:2011) Трубы и фитинги из сшитого полиэтилена (РЕ-Х). Оценка степени сшивки по содержанию гель-фракции.
2 ЭЛВ – ускоритель электронов линейный вакуумный.
About the authors
Gaini Z. Seitenova
Association of Producers and Consumers of Petrogaschemical Products (Petrogaschemical Association)
Email: gainiseitenova@gmail.com
ORCID iD: 0000-0001-6202-3951
Cand. Sc. (Chemistry)
Kazakhstan, AstanaAyazhan G. Syzdyk
Eurasian National University
Email: ayazhanka.syzdyk@gmail.com
ORCID iD: 0009-0007-4435-0976
Kazakhstan, Astana
Rizagul M. Dyussova
Toraighyrov University
Email: rizagul.dyussova@gmail.com
ORCID iD: 0000-0003-3083-5255
Cand. Sc. (Engineering)
Kazakhstan, PavlodarZhanat A. Baygazinov
Park of Nuclear Technologies
Email: zh.baigazinov@gmail.com
ORCID iD: 0000-0002-0348-8473
Cand. Sc. (Biology), PhD
Kazakhstan, KurchatovAzat K. Nurkassimov
Park of Nuclear Technologies
Author for correspondence.
Email: nurkasimov@pnt.kz
ORCID iD: 0009-0007-8222-8349
Kazakhstan, Kurchatov
Marat T. Kassymzhanov
Park of Nuclear Technologies
Email: kasymzhanov@pnt.kz
ORCID iD: 0000-0002-3977-4084
Kazakhstan, Kurchatov
References
- Demongeot A, Groote R, Goossens H, et al. Cross-Linking of Poly(butylene terephthalate) by Reactive Extrusion Using Zn(II) Epoxy-Vitrimer Chemistry. Macromolecules. 2017;50(16):6117–6127. doi: 10.1021/acs.macromol.7b01141.
- Ahmad H, Rodrigue D. Crosslinked Polyethylene: A Review on the Crosslinking Techniques, Manufacturing Methods, Applications, and Recycling. Polym. Eng. Sci. 2022;62(8):2376–2401. doi: 10.1002/pen.26049.
- Singh P, Venugopal BR, Nandini DR. Effect of Electron Beam Irradiation on Polymers. J. Mater. Manuf. 2018;5(1):24–33. doi: 10.21467/jmm.5.1.24-33.
- Raghu S, Archana K, Sharanappa C, et al. Electron Beam and Gamma Ray Irradiated Polymer Electrolyte Films: Dielectric Properties. J. Radiat. Res. Appl. Sci. 2016;9(2):117–124. doi: 10.1016/j.jrras.2015.10.007.
- An M, Lv Y, Xu H, et al. Effect of Gel Solution Concentration on the Structure and Properties of Gel-Spun Ultrahigh Molecular Weight Polyethylene Fibers. Ind. Eng. Chem. Res. 2016;55(30):8357–8363. doi: 10.1021/acs.iecr.6b02116.
- Yang W, He Y, Yang J, et al. Rheological Behavior of Ultrahigh Molecular Weight Polyethylene/Low-Density Polyethylene Blending Gels with High Solid Content. Polym. Eng. Sci. 2018;58(1):22–27. doi: 10.1002/pen.24526.
- Liu S, Veysey SW, Fifield LS, Bowler N. Quantitative Analysis of Changes in Antioxidant in Crosslinked Polyethylene (XLPE) Cable Insulation Material Exposed to Heat and Gamma Radiation. Polym. Degrad. Stab. 2018;156:252–258. doi: 10.1016/j.polymdegradstab.2018.09.011.
- Vykydalova A, Dubaj T, Cibulkova Z, et al. A Predictive Model for Polyethylene Cable Insulation Degradation in Combined Thermal and Radiation Environments. Polym. Degrad. Stab. 2018;158:119–123. doi: 10.1016/j.polymdegradstab.2018.11.002.
- Liu S, Fifield LS, Bowler N. Aging Mechanisms of Filled Cross-Linked Polyethylene (XLPE) Cable Insulation Material Exposed to Simultaneous Thermal and Gamma Radiation. Radiat. Phys. Chem. 2021;185:109486. doi: 10.1016/j.radphyschem.2021.109486.
- Hedir A, Moudoud M, Lamrous O, et al. Ultraviolet Radiation Aging Impact on Physicochemical Properties of Crosslinked Polyethylene Cable Insulation. J. Appl. Polym. Sci. 2020;137(16):48575. doi: 10.1002/app.48575.
- Al-Ghamdi H, Farah K, Almuqrin A, Hosni F. FTIR Study of Gamma and Electron Irradiated High-Density Polyethylene for High Dose Measurements. Nucl. Eng. Technol. 2022;54(1):255–261. doi: 10.1016/j.net.2021.07.023.
- Liu S, Li Q, Wang J, et al. Study on the Post-Irradiation Oxidation of Polyethylenes Using EPR and FTIR Technique. Polym. Degrad. Stab. 2022;196:109846. doi: 10.1016/j.polymdegradstab.2022.109846.
- Zaki MF, Elshaer YH, Taha DH. The Alterations in High Density Polyethylene Properties with Gamma Irradiation. Radiat. Phys. Chem. 2017;139:90–96. doi: 10.1016/j.radphyschem.2017.02.058.
- Gaston F, Dupuy N, Marque SRA, et al. One Year Monitoring by FTIR of γ-Irradiated Multilayer Film PE/EVOH/PE. Radiat. Phys. Chem. 2016;125:115–121. 10.1016/j.radphyschem.2016.03.010.
Supplementary files












