Overview of seismic stratigraphic referencing methods in conditions of limited or substandard set of initial well data
- Authors: Sanatova Z.A.1, Kaliyev D.T.1
-
Affiliations:
- KMG Engineering
- Issue: Vol 5, No 2 (2023)
- Pages: 5-16
- Section: Geology
- URL: https://vestnik-ngo.kz/2707-4226/article/view/108643
- DOI: https://doi.org/10.54859/kjogi108643
- ID: 108643
Cite item
Full Text
Abstract
Background: Well tying is an integral part of seismic interpretation both at the stage of structural and dynamic analysis. Linking seismic and well data is a critical process that allows you to link geological objects identified from seismic data with actual data obtained from wells, because. it is based on the relationship between the lithological composition of the deposits that make up the section under study and the characteristics of the reflections. Seismic data are in most cases presented on a time scale, while well data are on a depth scale, and in order to calibrate them, it is necessary to select a velocity law and establish a time-depth relationship.
Aim: This article aims to deepen the understanding of the importance of quality control of initial well data to improve the result of seismic stratigraphic tying and increase the efficiency of geological exploration, as well as to propose methods to improve the quality and efficiency of tying..
Materials and methods: Methods for correcting the readings of acoustic logging are described, various algorithms for tying seismic and well data are given.
Results: The paper considers the reasons for the distortion of the values of the initial well data, examples of data quality analysis, suggests options for how to conduct a seismic stratigraphic tie in the conditions of a limited or initially substandard set of initial data and obtain reliable depth-velocity dependences for wells.
Conclusion: Conducting quality control and, if necessary, correcting the original well data is a critical step to improve the accuracy of the final results of seismic interpretation. It is important to note that even with limited and low quality input data, it is possible to obtain depth-time dependencies. However, the results of the work show that editing and amending the original logs significantly improve the quality and detail of the seismic stratigraphic tie.
Full Text
Введение
Стратиграфическая привязка скважин к сейсмическим данным является неотъемлемым этапом работ по сейсмической интерпретации. Данная операция позволяет отобразить скважинные данные, записанные в глубине, во временной области, что является важным для определения целевых сейсмических горизонтов. При проведении динамического анализа от качества привязки скважин к сейсмике напрямую зависит надёжность извлечения упругих свойств и прогнозирования геологических характеристик разреза. Для достоверной стратиграфической привязки и корректного анализа геолого-геофизических материалов необходим скоростной закон, который позволит откалибровать временные и глубинные данные между собой.
Существует несколько способов получения скоростного закона по изу- чаемой площади: региональные годографы, данные вертикального сейсмического профилирования (далее – ВСП) или сей- смокаротажа по скважинам, кривые акустического каротажа продольных волн (далее – АК). Самый идеальный сценарий, при котором можно рассчитать наиболее надёжную и детальную глубинно-скоростную зависимость, получается при одновременном использовании замеров ВСП и АК. Однако, к сожалению, на большинстве площадей ВСП не проводится, АК обычно записывается не по всему разрезу и не во всех скважинах, а качество иногда непригодно для проведения привязки.
Контроль качества данных
Детальность и корректность сейсмостратиграфической привязки сильно зависит от исходных данных. Исходными данными для привязки являются чекшот (ВСП, сейсмокаротаж), кривые АК и плотностного каротажа. Прежде чем приступить к самому процессу привязки, необходимо провести анализ кривых геофизических исследований скважин (далее – ГИС) и чекшотов и исключить возможные проблемы, связанные с их некондиционным качеством, влияющим на финальные глубинно-временные зависимости.
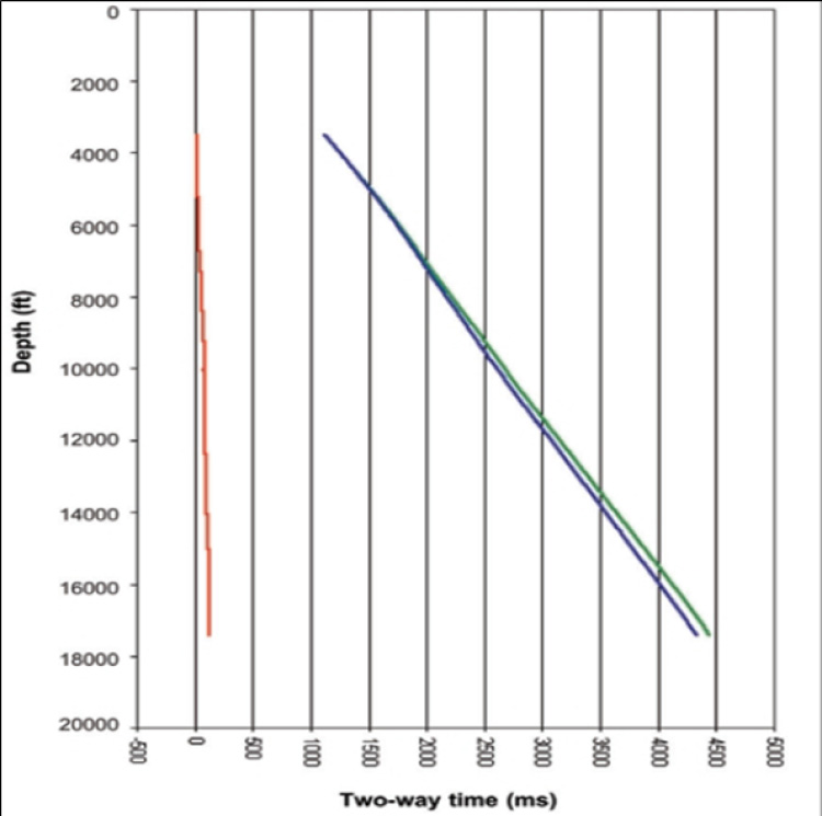
Зависимости «время – глубина», вычисленные отдельно по ВСП и акустике, должны согласовываться друг с другом, и разница между ними в этом случае будет минимальна или равняться нулю. Однако данные глубинно-временные зависимости имеют различия, что продемонстрировано на рис. 1, где мы видим, как одной глубине соответствуют различные значения двойного времени пробега волны: двойное время, полученное из ВСП (зелёная линия), выше, чем по акустике (синия линия). Это происходит по нескольким причинам [1]:
- во-первых, результаты ВСП могут быть искажены из-за бракованных пунктов взрыва, срывов записей циклов, погрешностей в определении времени прихода волн, некорректной обработки и интерпретации данных;
- во-вторых, замеры АК проводятся в радиусе не более 0,5–1 м от скважины, а данная зона подвергается наибольшему влиянию в процессе бурения в виде размывов стенок скважины, особенно в терригенном разрезе. По этой причине замеренные значения скорости искажаются и могут не соответствовать истинным значениям. Результаты кавернометрии (далее – CALI), показывающие изменение фактического диаметра скважины от глубины, помогают определить наличие зон размыва, сильно влияющих на качество АК;
- в-третьих, скорости упругих волн по ВСП/сейсмокаротажу и акустике изначально не совпадают из-за имеющегося эффекта дисперсии и различных внутрискважинных условий. Помимо этого, при проведении АК применяются более высокочастотные звуковые импульсы, что делает скорости, записанные по данным акустики, быстрее скоростей из ВСП.
Рисунок 1. Зависимость «время – глубина», рассчитанная из ВСП (зеленая линия) и акустики (синяя), красная – разница между двумя зависимостями [1]
Figure 1. Two-way time – Depth dependence calculated from VSP (green line) and acoustics (blue), red - the difference between the two dependences [1]
В этой связи еще до расчёта синтетики в первую очередь необходимо провести контроль качества данных АК и ВСП, особенно для крупного месторождения с большим количеством скважин, оценить, насколько имеющаяся между ними разница критична, устойчива ли эта разница от скважины к скважине, и провести калибровку.
Калибровка АК и ВСП (или дрифт-анализ) позволяет скорректировать раз- ницу в замеренном времени между АК и ВСП и определить первоначальную зависимость «время – глубина». Данные ВСП максимально приближены к показателям сейсмических съемок в отношении скоростных и частотных характеристик с относительно невысокой разрешающей способностью. С другой стороны, АК предлагает бóльшую детализацию, но его скорости могут отличаться от сейсмических. Помимо этого, АК обычно не записывается от земной поверхности по всему стволу скважины, в большинстве случаев запись ведётся только в продуктивном интервале. По этой причине скорости пород выше данного интервала неизвестны.
К сожалению, откалибровать данные АК и ВСП или сейсмокаротажа удается не всегда и приходится делать выбор только в пользу одного из них. Этому есть несколько причин: разница между данными слишком значительна, либо скорости по АК слишком занижены по сравнению с ВСП, либо разница непостоянна и меняется от скважины к скважине. Все три случая показаны на примерах ниже.
На рис. 2 представлено интервальное время пробега волны по АК (оранжевого цвета) и ВСП (синего цвета) на примере четырёх скважин одного месторождения. На рисунке отчетливо наблюдается разница в значениях акустики и ВСП в интервалах сильного размыва стенок скважин, соответствующего увеличенному диаметру скважины по CALI.
Figure 2. A plot for wells A-1, A-2 and A-3 with CALI caliper, original acoustic curves (orange curve) and calculated from VSP (blue curve)
На рис. 3 показано изменение интервальных скоростей в зависимости от глубины, полученное из оригинальной акустики (оранжевого цвета) и ВСП (синего цвета) в скважине А-1. Как видно на рисунке, интервальные скорости, полученные из АК, почти по всему разрезу характеризуются более низкими показаниями по сравнению со скоростями из ВСП. Разница на представленном примере варьируется от -600 м/с на уровне -800–1000 м до +700 м/с на -1400–1600 м, что, в свою очередь, в дальнейшем окажет сильное влияние на результирующую глубинно-временную зависимость и при- ведёт к некорректной привязке сейсмических и скважинных данных, что наглядно продемонстрировано на рис. 4.
Figure 3. Comparison of interval velocities from AL (orange) and VSP (blue) with depth for well A-1
Figure 4. Comparison of seismic stratigraphic tie for well A-1
а) по данным акустического каротажа / according to acoustic logging; б) по данным ВСП / according to VSP data
Пробуренная скважина А-1 вскрывает отложения юры и триаса, а V отражающий горизонт (на разрезе представлен розовым цветом) является границей между двумя стратиграфическими комплексами. Продуктивные горизонты Ю-1–Ю-5 – среднеюрские, Ю-6 и Ю-7 – нижнеюрские, а горизонт Т соответствует кровле триаса. На рис. 4 представлен сейсмический временной разрез с результатами привязки, выполненной с использованием скоростей оригинальной, не очи- щенной акустики (а) и интервальных скоростей из ВСП (б). Проведя контроль качества исходных данных, мы понимаем, что значения скоростей из АК сильно занижены по сравнению с ВСП, и, как результат, скважина «садится» гораздо ниже положенного (а), что отчетливо видно по отбивкам горизонтов Ю-6, Ю-7 и Т, где разница с привязкой по данным ВСП (б) составляет 48, 62 и 66 мс соответственно. Отметим, что ошибка имеет накопительный эффект, увеличиваясь с глубиной с 0–3 мс в интервале горизонтов Ю-1 и Ю-2 до 66 мс в триасе.
В случае отсутствия глубокой скважины, вскрывшей низы нижней юры и триаса, можно было и не заметить имеющиеся проблемы с акустикой и некорректно привязать все скважины, в результате чего построенные структурные карты, скоростная и геологические модели, а, соответственно, подсчитанные запасы были бы некорректны.
На низкое качество акустического каротажа может также указывать тот факт, что результирующий коэффициент корреляции от скважины к скважине остается довольно низким, т.к. в этом случае из-за ошибочной зависимости «время – глубина» сопоставляются не соответствующие друг другу реальные и синтетические трассы.
Решить проблему с низким качеством АК можно несколькими способами:
- 1 способ: рассчитать глубинные тренды отдельно для ВСП и АК, найти поправочный коэффициент, меняющийся с глубиной, разделив глубинный тренд по ВСП на глубинный тренд по АК, и умножить оригинальную кривую АК на поправочный коффициент;
- 2 способ: выбрать эталонные скважины, равномерно расположенные по площади, в которых АК в наименьшей степени подвержен влиянию скважинных условий при записи, далее определить опорные пласты в глинах по всему исследуемому интервалу, выполнить редактирование и нормализацию кривых АК в остальных скважинах, подбирая поправки таким образом, чтобы кривые в опорных пластах сходились с эталонными скважинами;
- 3 способ: рассчитать синтети-ческую кривую АК из кривой сопротивления либо из кривой нейтронного каротажа;
- 4 способ: выполнить коррек- тировку или восстановление кривых АК с помощью нейронных сетей при условии достаточности данных и наличии одинакового комплекса ГИС в рассматриваемых скважинах.
На рис. 5 сопоставляются кривые откорректированного АК (фиолетовая кривая), оригинального АК (оранжевая кривая) и акустики, рассчитанной из ВСП (синяя кривая). Как видно на рисунке, сходимость ВСП и АК после внесения поправок существенно улучшается, особенно это заметно в 3-й колонке, где показаны усреднённые версии тех же кривых (соответствующих цветов).
Figure 5. The results of corrections made to acoustic logging curves on the example of wells A-6 and A-7
Далее с учётом откорректированной кривой АК (DT_corr) выполнена привязка по скважине А-7. На рис. 6 наглядно продемонстрировано, что после внесения поправок глубинно-временные зависимости, рассчитанные из DT_corr (в центре) и ВСП (справа), согласуются между собой: отбивка Ю-6а в обоих случаях располагается на одном временном уровне, в то время как из неочищенной акустики (слева) на 60 мс ниже.
Figure 6. Comparison of seismic stratigraphic referencing results using original AL, corrected AL and VSP
Сейсмостратиграфическая привязка
После проведения анализа и в слу- чае необходимости корректировки исходных данных наступает следующий этап – непосредственно процесс привязки. Ниже представлены различные сценарии проведения привязки с первоначально разным набором исходных данных.
Процесс сейсмостратиграфической привязки при наличии данных ВСП/сейсмокаротажа и АК включает в себя следующие важные этапы:
- дрифт-анализ / калибровка АК;
- извлечение импульса, количественный анализ формы и фазы импульса;
- генерация синтетики;
- кросс-корреляция синтетической трассы с сейсмической трассой и оценка формы функции взаимной корреляции;
- применение одновременного сдвига во времени bulkshift или незначительных растяжений/сжатий для коррекции сходимости синтетики и сейсмики.
В случае отсутствия ВСП для получения зависимости «время – глубина» (time-depth relationship, или TDR) рекомендуется использовать кривую акустического каротажа и стратиграфические отбивки. Для корректной увязки необходимо наличие надежного репера, который уверенно выделяется как по сейсмическим, так и по каротажным данным.
Алгоритм проведения сейсмострати-графической привязки в данном случае будет включать следующие этапы:
- расчет первоначальной зависимости «время – глубина» TDR, основываясь на замерах АК;
- применение одновременного общего сдвига bulkshift по реперному горизонту на имеющуюся невязку «стратиграфическая отбивка – поверх-ность»;
- извлечение амплитудно-частотного спектра и сейсмического импульса в исследуемом интервале;
- генерация синтетики;
- кросс-корреляция синтетической трассы с реальной сейсмической трассой и оценка формы функции взаимной корреляции;
- при необходимости применение растяжений / сжатий.
В условиях ограниченного или полного отсутствия чекшотов и низкого качества АК, непригодного для привязки, рекомендуется применение осреднённых региональных годографов ВСП.
Необходимо отметить, что осреднять чекшоты из скважин с отличающимися литологическими разрезами, если имеют место резкая гетерогенность и смена литологии, неверно. Помимо этого, применение единого усреднённого регионального скоростного закона для всех скважин может быть также некорректным, если на площади наблюдается латераль- ное изменение мощностей стратиграфических комплексов в исследуемом интервале. Желательно использование индивидуальных скоростных законов с учётом мощности вскрытых горизонтов в каждой из рассматриваемых скважин.
В скважинах с данными ВСП рассчитываются кривые пластовых скоростей (1):
(1)
С точки зрения измерения скоростей ВСП используется интегральная толстослоистая скоростная модель среды, поскольку время распространения волн связано как с измерением скоростей в среде, так и с глубиной регистрации. При определении пластовых скоростей по вертикальному годографу за основу берётся аппроксимация линий, где точки пересечения показывают границы пластов, а наклону соответствуют пластовые скорости (рис. 7).
Рисунок 7. Принцип определения пластовых скоростей по вертикальному годографу
Figure 7. The principle of determining reservoir velocities by vertical time-to-depth curves
Алгоритм проведения сейсмострати-графической привязки в условиях ограниченного количества чекшотов и низкого качества акустического каротажа или их полного отсутствия включает следующие шаги:
- по имеющимся региональным годографам ВСП рассчитать кривые пластовых скоростей;
- оценить скоростные характеристики пластов, сопоставив изменения скоростей из ВСП со стратиграфическими отбивками, и определить осреднённое значение пластовых скоростей для каждого интервала;
- применить полученные значения пластовых скоростей в заданных интервалах для каждой анализируемой скважины;
- рассчитать зависимость «время – глубина» (MD-TWT) и задать её в качестве первоначального TDR;
- применить стандартную процедуру привязки.
На рис. 8–10 показаны результаты сейсмостратиграфической привязки по скважине, где в качестве первоначального TDR использовались оригинальный АК без коррекции (рис. 8), от- редактированный АК (рис. 9) и осреднённые годографы ВСП (рис. 10). На рис. 11 отчетливо видно, что при применении оригинального, неочищенного АК рассчитанная глубинно-временная зависимость заметно отличается от двух других, характеризуясь более низкими значениями двойного времени пробега волны, что является некорректным. Проведённая же коррекция АК позволи- ла минимизировать ошибку и получить более достоверные результаты при привязке, сопоставимые с данными ВСП.
Рисунок 8. Результат сейсмостратиграфической привязки, в качестве первоначального TDR – оригинальный АК
Figure 8. The result of seismostratigraphic referencing, as the initial TDR - the original AL
Рисунок 9. Результат сейсмостратиграфической привязки, в качестве первоначального TDR – отредактированный АК
Figure 9. The result of seismostratigraphic referencing, as the initial TDR– the corrected AL
Рисунок 10. Результат сейсмостратиграфической привязки, в качестве первоначального TDR – осредненные годографы ВСП
Figure 10. The result of seismostratigraphic referencing, as the initial TDR - averaged VSP time-to-depth curves
Рисунок 11. Сравнение зависимостей «время – глубина», рассчитанных из оригинального АК (зеленая линия), ВСП соседней скважины и скорректированного АК (оранжевая линия) и осреднённых годографов ВСП (красная линия)
Figure 11. Comparison of the Two-way time - Depth dependences calculated from the original AL (green line), offset well VSP and corrected AL (orange line) and averaged VSP time-to-depth curves (red line)
В качестве альтернативы для создания первоначального TDR можно также применять куб скоростей, полученный на этапе обработки, при условии, что данный куб обладает хорошим частотным составом и достаточной вариативностью по глубине и по латерали. Процесс привязки в этом случае будет включать следующие этапы:
- извлечение кривой скорости из скоростного куба для каждой анализируемой скважины. Перед проведением привязки проверить на сходимость с данными ВСП;
- калибровка кривой скорости с дан- ными АК;
- применение стандартной процедуры привязки.
Заключение
Проведение контроля качества исходных скважинных данных имеет определяющее значение на начальном этапе привязки. Ошибки в исходных данных могут привести к проблемам на этапе структурной и динамической интерпретации. Проведение качественного контроля данных способствует минимизации рисков и обеспечению точности построений и прогнозирования геологических характеристик и ресурсного потенциала месторождений.
Внедрение систематического контроля качества исходных скважинных данных должно быть неотъемлемой частью современного процесса сейсмической интерпретации.
Для обеспечения надёжности результатов привязки предложены варианты корректировки замеров АК, а также проведения сейсмостратиграфической привязки и получения достоверных глубинно-временных зависимостей при изначально различном наборе исходных данных.
ДОПОЛНИТЕЛЬНО
Источник финансирования. Авторы заявляют об отсутствии внешнего финансирования при проведении исследования.
Конфликт интересов. Авторы декларируют отсутствие явных и потенциальных конфликтов интересов, связанных с публикацией настоящей статьи.
Вклад авторов. Все авторы подтверждают соответствие своего авторства международным критериям ICMJE (все авторы внесли существенный вклад в разработку концепции, проведение исследования и подготовку статьи, прочли и одобрили финальную версию перед публикацией). Наибольший вклад распределён следующий образом: Санатова Ж.А. – сбор, анализ, проведение исследования, написание рукописи, интерпретация данных исследования, проверка результатов, Калиев Д.Т. – концепция исследования, интерпретация данных исследования, редактирование рукописи.
ADDITIONAL INFORMATION
Funding source. This study was not supported by any external sources of funding.
Competing interests. The authors declare that they have no competing interests.
Authors’ contribution. All authors made a substantial contribution to the conception of the work, acquisition, analysis, interpretation of data for the work, drafting and revising the work, final approval of the version to be published and agree to be accountable for all aspects of the work. The greatest contribution is distributed as follows: Zhaniya A. Sanatova – collection, analysis, research, writing a manuscript, interpretation of research data, verification of results; Dias T. Kaliyev – the concept of the study, interpretation of the study data, editing the manuscript.
About the authors
Zhaniya A. Sanatova
KMG Engineering
Author for correspondence.
Email: zh.sanatova@niikmg.kz
Kazakhstan, Astana
Dias T. Kaliyev
KMG Engineering
Email: dias.kaliyev@gmail.com
Kazakhstan, Astana
References
- Reconciling sonic logs with check-shot surveys: Stretching synthetic seismograms Rick Box, Paul Lowrey – The Leading Edge, June 2003.
- Elastic log editing and alternative invasion correction methods Guilherme F. Vásquez, Lúcia D. Dillon, Carlos L. Varela et al – The Leading Edge, June 2004.
- Training materials for Petrel software.
Supplementary files














