Estimation of quantitative criteria of carbonate reservoirs of triassic deposits
- Authors: Tlepieva J.M.1, Shilanov N.S.1
-
Affiliations:
- ТОО «КМГ Инжиниринг»
- Issue: Vol 3, No 3 (2021)
- Pages: 87-100
- Section: Articles
- URL: https://vestnik-ngo.kz/2707-4226/article/view/88955
- DOI: https://doi.org/10.54859/kjogi88955
- ID: 88955
Cite item
Full Text
Abstract
This paper discusses the boundary values of the reservoir properties of carbonate rocks of the Triassic sediments of South Mangyshlak, which are important for the interpretation of production geophysical data and for perforating and blasting operations.
In terms of lithological composition, Triassic deposits are represented by two types of commercial reservoirs – terrigenous and carbonate. Carbonate reservoirs are localized in the volcanic-dolomite and volcanic-limestone strata of the Middle Triassic. These rocks are characterized by a complex type of reservoir: porous-fractured, porous-cavernous and fractured. Sediments of the Upper Triassic occur with erosion on the Middle Triassic sedimentary complex and are represented by alternating tuffaceous, silt-sandy and mudstone rocks. Polymictic sandstones are oil-saturated to varying degrees; oil deposits are confined to them.
To substantiate the quantitative criteria of the reservoir, the results obtained during special laboratory studies of the core were used. Filtration studies were carried out, where physical and hydrodynamic characteristics were determined when oil was displaced by displacing reagents. The obtained parameters were used to construct correlations “collector – non-collector”. Using the relationships between the reservoir properties of the reservoir, the dependence of the porosity and permeability on the residual water content, as well as open porosity and permeability on the dynamic porosity, the boundary values were determined.
Full Text
Введение
Геологоразведочные работы на Мангышлаке в 70-90-х гг. прошлого столетия привели к открытиям многочисленных месторождений нефти и газа с доказанной продуктивностью в триасовом комплексе отложений [1]. В пределах Песчаномысско-Ракушечной зоны поднятий, Жетыбай-Узеньской ступени и Карагиинской седловины в различные годы открыты месторождения Северный Аккар, Северное Карагие, Алатюбе, Ащиагар, Атамбай-Сартюбе, Ракушечное, Оймаша, Южный Жетыбай, Тасбулат, Придорожное и др. Для карбонатных коллекторов триасовых отложений характерен ряд особенностей: сложное строение порового пространства, высокая неоднородность фильтрационно-ёмкостных свойств (далее – ФЕС), разнообразие горных пород в составе коллектора и множество других. Такие особенности приводят ко многим осложнениям при интерпретации промыслово-геофизических данных, выделении коллекторов и проектировании модели разработки.
Для выделения карбонатных коллекторов триасовых отложений по методам геофизических исследований (далее – ГИС) при применении качественных признаков сталкиваются с трудностями выделения границ пластов в связи со сложным строением отложений, и рядом факторов, негативно влияющих на кривые. Поэтому технология выделения коллекторов по количественным критериям, определяющим на статическом уровне границу коллектор – неколлектор, необходима для уточнения интерпретации [2]. Для определения граничных значений использовано построение корреляционных зависимостей по параметрам, полученным при проведении специальных лабораторных исследований керна.
Литолого-петрографическая характеристика карбонатных коллекторов
Карбонатно-терригенная толща нижнего триаса (Т1), залегающая в основании нефтегазоносного комплекса, сложена ритмично переслаивающимися алевролитами, песчаниками, аргиллитами и известняками. Отмечаются многочисленные прослои туфогенных пород. Возраст карбонатно-терригенной толщи, благодаря многочисленным находкам аммонитов, уверенно определён как позднеоленекский. Коллекторами (порово-трещинными) являются аркозовые песчаники с открытой пористостью от 8 до 18%, трещинной проницаемостью до 6,5×10-3 мкм², поровой – от 0,1 до 141×10-3 мкм². Продуктивность толщи установлена на м. Тасбулат и Южный Жетыбай, а на м. Узень, Западный Тасбулат и Западное Тенге получены слабые притоки нефти. Толща отсутствует в пределах Беке-Башкудукского вала (западной части, в районах площадей Саура и Сегенды и восточной части – Сокко, Шалабай, Сенек), северной части Узеньского поднятия, на юго-западе Жетыбай-Узеньской ступени (Северо-Западный Жетыбай, Придорожная) и на Северо-Карагиинской площади (рис. 1).
Среднетриасовые отложения (Т2) представлены вулканогенно-карбонатной сероцветной формацией, накопление которой протекало в условиях морского солоноватоводного бассейна и гумидного климата. B её составе выделяется 3 литологические толщи (снизу вверх):
- вулканогенно-доломитовая;
- вулканогенно-известняковая;
- вулканогенно-аргиллитовая.
Вулканогенно-доломитовая толща залегает c размывом на подстилающих отложениях нижнего триаса или палеозоя. Характерной особенностью является широкое развитие в её составе оолитово-комковатых туфов, туффитов, туфоаргиллитов, обломочно-полидетритовых известняков. Высокие ёмкостные (открытая пористость достигает величины до 28%) и фильтрационные свойства (115×10-3 мкм²) обусловлены развитием карбонатных пород, легко поддающихся процессам выщелачивания. Продуктивность толщи установлена на м. Северо-Западный Жетыбай, Тасбулат, Южный Жетыбай. Толща отсутствует в пределах северной части Жетыбай-Узеньской ступени, Кокумбайской моноклинали, западной части Беке-Башкудукского вала.
Пустотное пространство представлено внутриформенными изолированными порами, образованными в результате выщелачивания кальцита. Межформенное пространство выполнено яснокристаллическим кальцитом.
Выше по разрезу залегает вулканогенно-известняковая толща, представленная известняками с редкими прослоями доломитов, туффитами, туфопесчаниками, аргиллитами и алевролитами. Известняки сильно битуминизированы, что обуславливает чёрную окраску пород. Широкое развитие туфогенных пород значительно снижает ФЕС. Продуктивность толщи установлена на м. Северо-Западный Жетыбай и Южный Жетыбай.
Верхняя часть среднетриасового разреза – вулканогенно-аргиллитовая толща сложена преимущественно аргиллитами с примесью туфогенного материала и маломощными прослоями карбонатных пород (нижняя часть) и алевролитов (верхняя часть). Породы характеризуются низкими коллекторскими свойствами и зачастую принимаются в качестве флюидоупора для залежей углеводородов, приуроченных к карбонатной толще.
Верхний триас (Т3). Терригенные отложения верхнего триаса распространены в пределах Жетыбай-Узеньской, Кокумбайской ступени и Жазгурлинской депрессии.
В основании толщи выделяется грубозернистая пачка мощностью от 40 до 70 м, обладающая коллекторскими свойствами: открытая пористость до 20%, проницаемость - 10×10-3 мкм². Вышележащая часть разреза сложена разнозернистыми туфопесчаниками, туфоалевролитами и туфоаргиллитами. Продуктивность толщи установлена на месторождениях Северо-Карагиинского поднятия, Северо-Ракушечное и Жиланды.
Общая мощность среднетриасовых отложений в пределах Южного Мангышлака достигает 600–650 м [3, 4].
Рисунок 1. Мангышлак. Тектоническая схема [1]
Определение граничных значений. Экспериментальная часть
Для оценки граничных значений проведены исследования на отобранном керне в период 2010–2019 гг. [5–9]. Общие сведения по отбору образцов для проведения специальных исследований керна представлены в табл. 1.
Таблица 1. Сведения по отобранным образцам
Месторождение/ Скважина | Горизонт | Литология | Количество экспериментов, ед. |
X-10 | Т3, базальный | мелкозернистый песчаник | 2 |
X-3 | Т3, базальный | мелкозернистый песчаник | 2 |
Y-9 | Т3, базальный | туфопесчаник | 2 |
Y-40 | Т3, базальный | туфопесчаник | 2 |
X-15 | Т2, вулканогенно-доломитовый | доломит известковистый | 1 |
X-27 | Т2, вулканогенно-доломитовый | доломит обломочный, кавернозный | 1 |
Y-40 | Т2 | туфоалевролит | 1 |
Для оценки граничных значений ФЕС была использована двухфазная фильтрационная установка, основными элементами которой являются:
1) вертикально расположенный кернодержатель, предназначенный для образцов керна диаметром 1½ дюйма и длиной 12 дюймов;
2) вертикально расположенная рентгеновская система для постоянного сканирования керна и определения водо- и нефтенасыщенности в реальном времени;
3) комплект прецизионных насосов и термодатчиков для фильтрации флюидов в термобарических условиях;
4) модуль трансдьюсеров для определения перепада давления.
Общий вид двухфазной фильтрационной установки представлен на рис. 2.
Подготовка образцов керна для проведения экспериментальных исследований включала в себя несколько этапов.
Этап 1. На сверлильном станке из рабочей части распиленного керна отбирались образцы диаметром 1½».
Полученные цилиндрические образцы упаковывались в полиэтиленовые пакеты и направлялись в экстракционное помещение для очистки от углеводородов, пластовой воды и солей. Экстрагирование образцов проводилось в дефлегмационных приборах Сокслета с использованием в качестве растворителя толуола, затем смеси хлороформа и метанола в соотношении 9 : 1 соответственно.
Степень полноты очистки образцов определялась в процессе ежедневного контроля флуоресценцией в ультрафиолетовом свете, а также весовым методом -взвешиванием образцов после экстрагирования и высушивания.
Рисунок 2. Общий вид двухфазной фильтрационной установки LXRT
После завершения процесса очистки, который продолжался в течение трех недель, образцы были высушены в термошкафах с контролируемой влажностью при температуре 65°С до достижения постоянного веса.
Далее образцы помещались в эксикатор с силикагелем для предотвращения адсорбции влаги из воздуха и направлялись для проведения стандартных и специальных исследований керна.
Этап 2. Стандартные исследования образцов керна включали определение минералогической плотности, открытой пористости и абсолютной проницаемости.
Для измерения минералогической плотности зёрен, коэффициентов открытой пористости и абсолютной проницаемости пород использовался прибор UltraPoroPerm 500 фирмы Core Laboratories Instruments.
Принцип работы порозиметра основан на использовании закона Бойля-Мариотта. Минералогическая плотность и пористость определялись газоволюметрическим методом с применением гелия.
Коэффициент пористости рассчитывался программой как отношение объёма пор к объёму образца, где объём пор получен из разности объёма образца и объёма зёрен.
Абсолютная газопроницаемость измерялась при стационарной фильтрации с применением стандартного кернодержателя Хасслера путём закачки газа азота. Принцип работы пермеаметра основан на использовании закона Дарси. На боковую поверхность образца оказывалось гидростатическое давление 400 psi. При соответствии движения потока воздуха по закону Дарси выполнялся автоматический расчёт абсолютной проницаемости породы.
Этап 3. Специальные исследования включали насыщение образцов керна с помощью автосатуратора моделью пластовой воды, измерение коэффициента частичной и остаточной водонасыщенности, относительной фазовой проницаемости нефти и воды, остаточной нефтенасыщенности.
Перед началом проведения экспериментов отобранный образец насыщался в вакуумном сатураторе моделью пластовой воды (далее – МПВ), приготовленным синтетическим раствором гидрокабонат-натриевого типа NaCl с минерализацией 20-40 г/л. Образцы и насыщающий флюид были предварительно вакуумированы. Полнота насыщения порового пространства определялась сравнением пористости, полученной при насыщении образцов МПВ, и пористости, определенной газообъёмным методом по гелию. Для насыщения образца керна в ходе проведения экспериментов также была подготовлена сырая отфильтрованная нефть.
Предварительно насыщенные МПВ, образцы керна помещались в специально сконструированный кернодержатель, пропускающий гамма-лучи, где создавалось пластовое давление.
На первом этапе определялась фазовая проницаемость породы для воды при 100% насыщенности МПВ. Затем, не извлекая образец из кернодержателя, при пластовых условиях с использованием сырой нефти была вытеснена вода, определены коэффициенты остаточной водонасыщенности и проницаемости для нефти при остаточной воде. Коэффициент остаточной водонасыщенности образцов керна определялся по результатам рентгеновского сканирования.
Исследования в стационарном режиме
После завершения процесса подготовки образца керна начата закачка нефти и воды одновременно в разных пропорциях: 75/1; 25/1; 5/1; 1/1; 1/10. Каждая последующая порционная закачка выполнялась после стабилизации дифференциального давления.
На каждом этапе эксперимента замерялись эффективная проницаемость каждой фазы и водонасыщенность образцов с помощью рентгеновского сканера.
После завершения порционной закачки двух фаз проведено нагнетание воды, равное 25-кратному объёму пор, до получения остаточной нефтенасыщенности с определением фазовой проницаемости для воды при остаточной нефтенасыщенности.
Водонасыщенность извлечённого из кернодержателя образца была также определена методом экстрагирования в аппарате Дина-Старка.
Для определения фазовой проницаемости для нефти выполнены доочистка образцов, высушивание, насыщение сырой нефтью. Затем образцы помещались в кернодержатель, после чего производилась закачка сырой нефти и определялся коэффициент проницаемости для нефти при 100%-й нефтенасыщенности.
Результаты проведённых экспериментов представлены в табл. 2.
Таблица 2. Результаты специальных исследований керна
Показатели | Ед. изм. | Эксперимент | |||||||
№ 1 | № 2 | № 3 | № 4 | № 5 | № 6 | № 7 | № 8 | ||
Месторождение / скважина | X-10 | X-3 | Y-9 | Y-40 | |||||
Лабораторный номер образца | 26 | 22 | 5 | 7 | 225 | 242 | 219 | 220 | |
Литология | песчаник | песчаник | песчаник | песчаник | туфопесчаник | туфопесчаник | туфопесчаник | туфопесчаник | |
Глубина | м | 3256,2 | 3262,12 | 3699,54 | 3698,87 | 2962,03 | 3037,31 | 3703,05 | 3703,23 |
Коэффициент открытой пористости | д. ед. | 0,155 | 0,175 | 0,143 | 0,140 | 0,246 | 0,138 | 0,180 | 0,182 |
Коэффициент абсолютной проницаемости | ×10-3 мкм² | 107,9 | 206,9 | 32,0 | 31,6 | 23,1 | 1,4 | 51,1 | 29,1 |
Плотность пластовой воды | г/см³ | 1,056 | 1,056 | 1,056 | 1,056 | 1,061 | 1,061 | 1,061 | 1,061 |
Вязкость нефти | мПа×с | 0,560 | 0,560 | 0,560 | 0,560 | 1 | 1 | 1 | 1 |
Плотность нефти | г/см³ | 0,758 | 0,758 | 0,758 | 0,758 | 0,798 | 0,798 | 0,798 | 0,798 |
Общая минерализация | г/л | 28 | 28 | 28 | 28 | 21 | 21 | 21 | 21 |
Остаточная водонасыщенность | д. ед. | 0,220 | 0,230 | 0,276 | 0,262 | 0,384 | 0,470 | 0,334 | 0,391 |
Остаточная нефтенасыщенность | д. ед. | 0,356 | 0,325 | 0,349 | 0,355 | 0,345 | 0,349 | 0,366 | 0,351 |
Проницаемость воды при остаточной нефти | ×10-3 мкм² | 5,676 | 5,860 | 8,022 | 7,977 | 6,545 | 0,216 | 17,556 | 5,470 |
Проницаемость для нефти | ×10-3 мкм² | 13,583 | 13,292 | 4,920 | 5,687 | ||||
Проницаемость нефти при остаточной воде | ×10-3 мкм² | 5,988 | 5,860 | 4,305 | 4,399 | 15,620 | 1,010 | 42,510 | 18,950 |
Коэффициент вытеснения | д. ед. | 0,539 | 0,578 | 0,519 | 0,519 | 0,441 | 0,273 | 0,450 | 0,424 |
Температура эксперимента | °С | 130,6 | 130,6 | 130,6 | 130,6 | 115 | 115 | 115 | 115 |
На рис. 3 представлены построенные по полученным результатам исследований графики относительной проницаемости для воды и нефти.
По графикам относительной проницаемости можно сделать следующие выводы:
остаточная нефтенасыщенность пород варьирует в пределах 32,5-36,6%;
остаточная водонасыщенность в пределах 22,0-47,0%;
коэффициент вытеснения составляет 27,3/57,8%;
величина предельного значения относительной проницаемости воды составляет 0,2/0,4 д. ед., что указывает на гидрофильность пород.
По результатам выполненных специальных исследований получены величины остаточной водо- и нефтенасыщенности.
Рассчитана динамическая пористость пород с использованием следующего выражения:
Кпдин=Кпоткр*(1-Sw- So) (1)
где
Кпдин – динамическая пористость;
Кпоткр – открытая пористость пород по гелию;
Sw – остаточная водонасыщенность;
So – остаточная нефтенасыщенность.
Рисунок 3. Коэффициент относительной проницаемости для воды и нефти
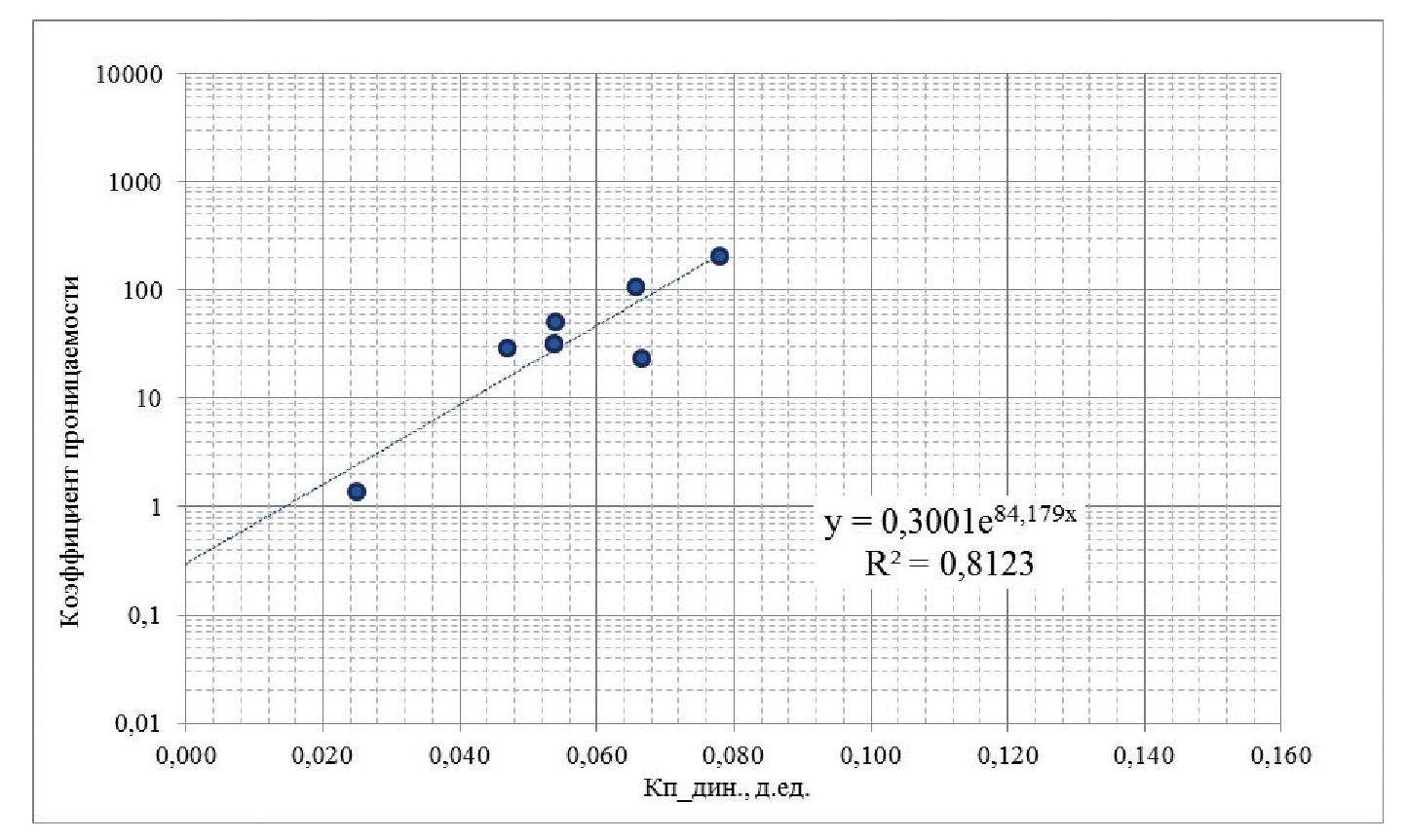
Динамическая пористость характеризует ФЕС, т.к. учитываются остаточные водо- и нефтенасыщенность. При динамической пористости 0% остаточные водо- и нефтенасыщенность занимают всё поровое пространство, и порода является неколлектором. Построенные связи «динамическая пористость – открытая пористость» и «динамическая пористость – абсолютная проницаемость», представленные на рис. 4 и 5, дают возможность оценить граничные значения продуктивных коллекторов верхнего триаса.
Таким образом, определены предельные значения для коллекторов верхнего триаса:
- граничное значение пористости – 7%;
- граничное значение проницаемости - 0,3 ×10-3 мкм².
Рисунок. 4. Зависимость «динамическая пористость – открытая пористость»
Рисунок 5. Зависимость «динамическая пористость – абсолютная проницаемость»
Специальные исследования выполнялись также для пород среднего триаса. Образцы были отобраны из разных скважин и месторождений.
Однако при выполнении исследований для пород нескольких месторождений при закачке воды увеличивалось дифференциальное давление до 3200 psi, проницаемость породы для воды составляла менее 0,1×10-3 мкм², что не позволяло дальше проводить исследования. Данный фактор, возможно, связан с гидрофобностью пород. Исходная информация и результаты представлены в табл. 3.
Для более достоверного определения гидрофобизации пород был выбран наиболее проницаемый образец лабораторный № 259А (63,7×10-3 мкм²), представленный известковистым доломитом. Выполнены исследования в стационарном режиме. Результаты представлены на рис. 6.
По зависимости относительной проницаемости воды и нефти можно сделать следующие выводы:
- остаточная нефтенасыщенность пород высокая – 46,4%;
- остаточная водонасыщенность – 27,0%;
- коэффициент вытеснения составляет всего – 36,4%;
- величина предельного значения относительной проницаемости воды составляет 0,83 д. ед., что указывает на гидрофобность пород.
Таблица 3. Результаты специальных исследований керна
Показатели | Ед. изм. | Эксперимент | ||
№ 5 | № 6 | № 7 | ||
Месторождение /скважина | Х-15 | Х-27 | Y-40 | |
Лабораторный номер образца | 259A | 161 | 2 | |
Литология | доломит известковистый | доломит | туфоалевролит | |
Глубина | м | 2944,91 | 3789,55 | 3588,31 |
Коэффициент открытой пористости | д. ед. | 0,237 | 0,153 | 0,103 |
Коэффициент абсолютной проницаемости | ×10-3 мкм² | 63,7 | 0,63 | 0,237 |
Плотность пластовой воды | г/см³ | 1,061 | 1,06 | 1,061 |
Вязкость нефти | мПа×с | 1 | 1 | 1 |
Плотность нефти | г/см³ | 0,798 | 0,8 | 0,798 |
Общая минерализация | г/л | 24,5 | 21 | 21 |
Остаточная водонасыщенность | д. ед. | 0,27038 | 0,453 | 0,35 |
Остаточная нефтенасыщенность | д. ед. | 0,464 | - | - |
Проницаемость для нефти | ×10-3 мкм² | 4,81 | 0,11 | 0,05 |
Проницаемость нефти при остаточной воде | ×10-3 мкм² | 3,76 | - | - |
Коэффициент вытеснения | д. ед. | 0,364 | - | - |
Температура эксперимента | °С | 115 | 115 | 115 |
Рисунок 6. Коэффициент относительной проницаемости для воды и нефти
Для определения граничного значения открытой пористости пород вместо определения остаточной нефтенасыщенности и, соответственно, динамической пористости выполнено массовое определение капиллярного давления при пластовых условиях с использованием высокоскоростной центрифуги.
В исследованиях участвовали 124 образца, отобранные в 2012–2015 гг. [1–5]. Для определения остаточной водонасыщенности использовалось максимальное капиллярное давление, равное 215 psi. Полученные величины остаточной водонасыщенности сопоставлены с открытой пористостью. Зависимости представлены на рис. 7 и 8.
По построенным зависимостям видно, что при остаточной водонасыщенности более 35% ФЕС пород ухудшаются, флюид занимает все поровое пространство, порода становится неколлектором.
Таким образом, определённые предельные значения для вулканогенно- карбонатных пород среднего триаса следующие:
- граничное значение пористости - 7%;
- граничное значение проницаемости - 0,02 ×10-3 мкм².
Достоверность определения ёмкостных свойств при интерпретации материалов ГИС зависит от надёжности установленных петрофизических связей и параметров. Качество анализа керна, проведённого в 80-ых гг., не позволяет на сегодняшний день использовать его результаты для построения петрофизических связей по следующим нижеприведённым причинам:
- низкий вынос керна;
- отсутствие результатов профильных исследований, предназначенных для привязки керна к разрезу;
- отсутствие равномерного отбора цилиндрических образцов из всех интервалов, включая слабопроницаемые и неколлекторы;
- некомплектность исследований – отсутствие комплекса исследований на одних и тех же образцах для установления тесноты связей между различными параметрами.
В этой связи необходимо продолжить работы по отбору керна и изучению ФЕС пород.
Рисунок 7. Зависимость «коэффициент абсолютной проницаемости – остаточная водонасыщенность»
Рисунок 8. Зависимость «открытая пористость – остаточная водонасыщенность»
Выводы
По результатам специальных исследований граничное значение пористости для продуктивной толщи среднего и верхнего триаса составляет 7%, а предел коэффициента проницаемости для среднего триаса – 0,02 ×10-3 мкм², для верхнего – 0,3 ×10-3 мкм². Необходимо продолжить работы по изучению граничных значений по мере отбора керна из новых скважин и различных месторождений. Использование полученных граничных значений способствует выделению сложнопостроенных карбонатных коллекторов с использованием как качественных, так и количественных признаков, основанных на различии ФЕС пород-коллекторов и вмещающих пород.
About the authors
J. M. Tlepieva
ТОО «КМГ Инжиниринг»
Author for correspondence.
Email: tlepieva.zh@gmail.com
заведующая лабораторией специальных исследований керна; филиал «КазНИПИмунайгаз»
Kazakhstan, АктауN. S. Shilanov
ТОО «КМГ Инжиниринг»
Email: shilanov_n@mail.ru
заместитель директора филиала по лабораторным исследованиям, филиал «КазНИПИмунайгаз»
Kazakhstan, АктауReferences
- Крупин А.А., Рыкус М.В. Нефтегазоносность вторичных коллекторов углеводородов в карбонатных породах среднего триаса на месторождениях Южного Мангышлака. – Нефтегазовое дело, 2012, № 3, с. 276.
- Петерсилье В.И., Пороскуна В.И., Яценко Г.Г. Методические рекомендации по подсчету геологических запасов нефти и газа объемным
- Гурбанов В.Ш., Халифазадэ Ч.М. Литолого-палеографическая модель триас-палеозойских отложений Южного Мангышлака. – Баку, Нафта-Пресс, 2003, с.3.
- Попков В. И., Попкова И. П., Кнутова Л. М. Распространение нефтегазоносных толщ триаса в пределах северного борта Южно-Мангышлакского прогиба. – Труды КазНИПИнефти, 1986, вып.13, с. 3–6.
- Шиланов Н.С. Оценка нефтегазоносности триас-палеозойских отложений Южного Мангышлака по комплексным данным геолого-геофизических исследований. – Диссертация на соискание учёной степени доктора философии по наукам о Земле, Баку,2018, 176 стр, с.102.
- Абитова А.Ж., Альтимиров Т.З., Шиланов Н.С. и др. Стандартные и специальные лабораторные исследования керна. – КазНИПИмунайгаз, 2013, т.1, с.39–77.
- Абитова А.Ж., Альтимиров Т.З., Шиланов Н.С. и др. Стандартные и специальные лабораторные исследования керна – КазНИПИмунайгаз, 2013, т. 2, с.83–87.
- Абитова А.Ж., Альтимиров Т.З., Шиланов Н.С. и др. Стандартные и специальные лабораторные исследования керна. – КазНИПИмунайгаз, 2013, т. 1, с.131–142.
- Абитова А.Ж., Альтимиров Т.З., Шиланов Н.С. и др. Стандартные и специальные лабораторные исследования керна. – КазНИПИмунайгаз, 2013, т.4, с.157–162.
Supplementary files












