Calculation of the characteristics of rock samples based on their images using deep machine learning algorithms
- Authors: Assilbekov B.K.1,2, Kalzhanov N.E.3,4, Bekbau B.E.2, Bolysbek D.A.1,2
-
Affiliations:
- U.A. Joldasbekov Institute of Mechanics and Engineering
- Satbayev University
- KBTU BIGSoft
- Al-Farabi Kazakh National University
- Issue: Vol 6, No 1 (2024)
- Pages: 36-49
- Section: Geology
- URL: https://vestnik-ngo.kz/2707-4226/article/view/108674
- DOI: https://doi.org/10.54859/kjogi108674
- ID: 108674
Cite item
Full Text
Abstract
Porosity, absolute permeability and diffusion coefficient are important characteristics of the flow of fluids in the pore space of rocks, the determination of which is resource-intensive and time-consuming. With the development of deep machine learning methods over the past 3–4 years, artificial neural networks have begun to be actively used in determining the transport properties of the “liquid-porous medium” system and the geometric characteristics of the pore space of samples based on their images. This method allows you to quickly determine the desired properties with acceptable accuracy. Therefore, the question arises about the effectiveness and adequacy of deep machine learning methods for these purposes.
This article provides a scientific review of open literature sources on the determination of absolute permeability, diffusion coefficient and porosity from images obtained by different scanning methods. We also used our own data, namely images for 4 carbonate samples, and presented the results of predicting the connected porosity of these samples based on their X-ray images using the convolutional neural network model we built.
The review showed that images of rock samples obtained using various scanning methods make it possible to calculate their transport properties with high reliability in a significantly short time. This means that deep machine learning can be a good alternative tool for calculating the properties of rock samples based on their images. The model we built showed the predictive ability of the porosity of 3 carbonate samples with a reliability coefficient of 0.936–0.976.
Full Text
Введение
Транспортные свойства пород, такие как абсолютная проницаемость, коэффициент диффузии и пористость, являются их важными макроскопическими характеристиками, от которых зависят добыча углеводородов при разработке нефтегазовых месторождений, оценка возможности закачки и хранения CO2 в карбонатные пласты, оценка и мониторинг качества подземных вод и т.д. Эти свойства обычно определяются в лабораторных условиях экспериментальным путём с помощью специального оборудования либо в ходе численного моделирования. Лабораторные измерения обычно длятся немало и являются дорогостоящими, и численное моделирование также занимает достаточное количество времени, в т.ч. на обработку множества входных параметров, поэтому определение указанных свойств альтернативными путями на основе имеющихся аналитических и экспериментальных данных о пористой среде является актуальной задачей.
Машинное обучение стало широко применяться при анализе данных и прогнозировании важных характеристик во многих сферах, таких как медицина [1], экономика [2, 3], геофизика [4–6] и пр.
На сегодняшний день имеется немало работ, посвященных изучению течения жидкостей в пористых средах в масштабе пор [7–11] и прогнозированию характеристик пористой среды [12–18] на основе двухмерных изображений в совмещении с решеточным методом Больцмана.
Настоящая статья представляет собой научный обзор литературы из открытых источников по определению упомянутых выше основных свойств пористых материалов на основе их снимков, полученных разными способами сканирования. Кроме этого, приводятся результаты собственных исследований по расчёту открытой пористости 4 карбонатных образцов по их двухмерным снимкам, полученным с помощью рентгеновского микрокомпьютерного томографа.
Расчёт коэффициента диффузии
Работа [18] посвящена прогнозированию коэффициента эффективной диффузии двухмерных пористых сред с использованием глубокого машинного обучения – свёрточных нейронных сетей (далее – CNN, англ. Convolutional Neural Network) на основе их изображений. Эти двухмерные пористые среды были сгенерированы с использованием метода реконструкции поровой структуры – набора для генерации структуры квартета. Коэффициенты эффективной диффузии вычислены с помощью решеточного метода Больцмана (далее – LBM, англ. Lattice Boltzmann Method), которые являлись исходными данными для обучения модели CNN. Авторы сгенерировали множество сред, пористость и коэффициент диффузии которых менялись в интервалах 0,28–0,98 и 0,1–1 соответственно (рис. 1). Как видно из рис. 1, низкие значения коэффициента диффузии распределены с большим разбросом. Авторы спрогнозировали коэффициент диффузии с использованием CNN, который коррелирует с рассчитанным коэффициентом диффузии по LBM с достоверностью 0,99 (рис. 2, а), тогда как широко используемое эмпирическое уравнение Брюггемана позволяет рассчитывать коэффициент диффузии со сравнительно низкой достоверностью (рис. 2, б), особенно для низких значений коэффициента. Авторы работы [18] также приводят несколько способов улучшения достоверности прогноза коэффициента диффузии с помощью CNN и особенно его низких значений (<0,1), таких как использование относительной ошибки вместо абсолютной при минимизации функции потерь и исключение тупиковых пор из общей сети пор.
Рисунок 1. Сгенерированные пористые среды и их коэффициенты диффузии [18]
Figure 1. Generated porous media and their diffusion coefficient [18]
а) выборочные пористые среды / selected porous media; б) распределение коэффициента диффузии по пористости / diffusion coefficient distribution by porosity
Рисунок 2. Коэффициенты диффузии, полученные разными методами [18]
Figure 2. Diffusion coefficients obtained by different methods [18]
а) спрогнозированный по CNN и рассчитанный по LBM коэффициенты диффузии / CNN-predicted vs. LBM-calculated diffusion coefficients; б) рассчитанный по LBM и уравнению Брюггемана коэффициенты диффузии / diffusion coefficients calculated using LBM and Bruggeman equation
В работе [16] рассматривается прогнозирование коэффициента диффузии трёхмерных гранулированных пористых сред с применением CNN с самоусилением информации о поровой структуре. Коэффициент диффузии рассчитан на основе решеточного метода Больцмана, а гранулированные пористые среды были реконструированы стохастической генерацией шаров разного диаметра с пористостью 0,39–0,79 (рис. 3). Авторы показали, что при обучении могут использоваться изображения с любой пористостью при одинаковой структуре среды: если для обучения использовать изображения сред с низкой пористостью и прогнозировать коэффициент диффузии сред с высокой пористостью и, наоборот, использовать среду с высокой пористостью для обучения при прогнозе коэффициента диффузии с низкой пористостью, то отклонения прогнозного значения коэффициента диффузии от истинного в обоих случаях будут сопоставимы (рис. 4). Авторы также показали, что благодаря применению глубокого машинного обучения время расчёта коэффициента диффузии сократилось с 17 ч до 1 с, и ошибка между результатами CNN и LBM не превышает 9%.
Рисунок 3. Сгенерированные пористые среды с различной пористостью [16]
Figure 3. Generated porous media with different porosity [16]
а) с пористостью 0,219 / with a porosity of 0.219; б) с пористостью 0,3 / with a porosity of 0.3; в) с пористостью 0,4 / with a porosity of 0.4; г) с пористостью 0,5 / with a porosity of 0.5
Рисунок 4. Коэффициент диффузии, рассчитанный различными способами [16]
Figure 4. Diffusion coefficient calculated by different methods [16]
Прогнозирование коэффициента диффузии пористых сред песчаного и трещиноватого типов приведено в работе [19] с использованием CNN на основе их изображений. Отметим, что рассмотренные пористые среды были реконструированы путём случайной генерации объектов в двумерной области, и их коэффициент диффузии был рассчитан с помощью решеточного метода Больцмана.
На рис. 5 показаны некоторые из таких сред: первые две картинки соответствуют пористым средам песчаного типа, а последние две – трещиноватому типу. Главным заключением этой работы является то, что модель CNN, обученная на данных пористых сред песчаного типа, лучше прогнозирует коэффициент диффузии пористых сред этого же типа. Это означает, что вопрос о разработке универсальной модели CNN, которая прогнозирует коэффициент диффузии пористых сред любого типа, остается открытым.
Рисунок 5. Сгенерированные пористые среды с различной пористостью [19]
Figure 5. Generated porous media with different porosity [19]
а) песчаный тип с высокой пористостью / sandstone type with high porosity; б) песчаный тип с низкой пористостью / sandstone type with low porosity; в) трещиноватый тип с высокой пористостью / fractured type with high porosity; г) трещиноватый тип с низкой пористостью / fractured type with low porosity
Расчёт абсолютной проницаемости
Авторы работы [17] прогнозировали абсолютную проницаемость карбонатных и песчаных образцов на основе их изображений с использованием регрессионных методов машинного обучения (неглубокое машинное обучение) и CNN. В качестве исходных данных были использованы изображения карбонатного образца (рис. 6), полученные с помощью рентгеновской микрокомпьютерной томографии.
Рисунок 6. Трехмерное изображение карбонатного образца [17]
Figure 6. 3D image of a carbonate sample [17]
Результаты показали, что CNN лучше предсказывает проницаемость пород по сравнению с регрессионными методами машинного обучения. Петрофизические параметры рассмотренных образцов были рассчитаны с помощью поросетевого моделирования (далее – PNM, англ. Pore Network Modeling), LBM и полного уравнения Навье-Стокса. PNM является самым быстрым методом расчёта петрофизических параметров, тогда как LBM и полное уравнение Навье-Стокса являются наиболее точными. Как показали авторы, все три метода оказались способными прогнозировать проницаемость с хорошей точностью. Основными выводами этой работы являются:
а) CNN позволяет спрогнозировать проницаемость образца в 1000 раз быстрее, чем LBM;
б) достоверность прогноза проницаемости песчаных образцов (рис. 7, б) выше достоверности прогноза проницаемости карбонатного образца (рис. 7, а) из-за сложной поровой структуры последнего.
Рисунок 7. Сопоставление спрогнозированной проницаемости карбонатного и песчаного образцов с проницаемостью, вычисленной с помощью LBM [17]
Figure 7. Comparison of predicted permeability of carbonate and sandstone samples with permeability calculated using LBM [17]
а) карбонатный образец / carbonate sample; б) песчаный образец / sandstone sample
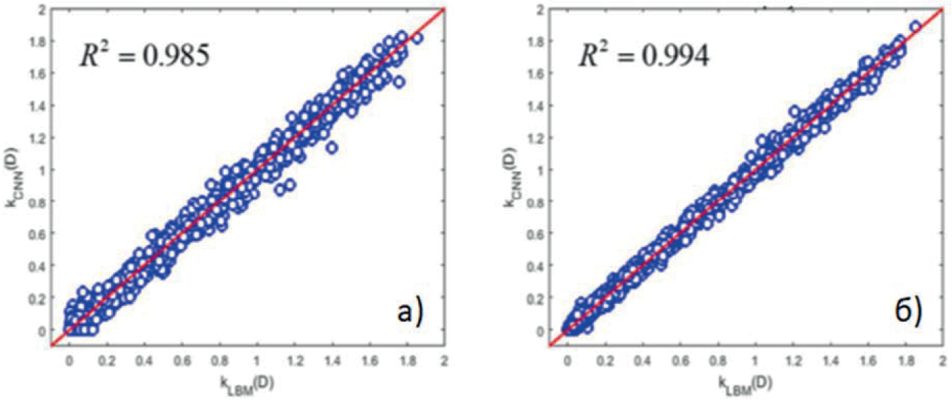
Некоторые работы направлены на прогнозирование проницаемости на основе изображений образцов, полученных с помощью различных способов сканирования, таких как микрокомпьютерная томография или электронная микроскопия, с учётом петрофизических свойств пород [15, 20]. В работе [20] предложена новая архитектура глубокого машинного обучения (рис. 8, б) для более точного прогнозирования абсолютной проницаемости синтетических пород, учитывающая их пористость и извилистость. Авторы изучили влияние разных контролирующих параметров, таких как количество плотных слоев и степени обучения, на прогнозирующую способность построенной архитектуры. Они показали, что учет пористости и извилистости при прогнозировании абсолютной проницаемости на основе изображений породы может улучшить качество прогноза. Их результаты показали повышение достоверности прогноза от 0,985 до 0,994 при использовании пористости и извилистости в качестве дополнительных входных данных для обучения модели CNN (рис. 9), при этом время расчёта проницаемости снизилось в 1000 раз по сравнению со временем расчёта по LBM.
Рисунок 8. Архитектура модели CNN [20]
Figure 8. CNN model architecture [20]
а) обычная / conventional; б) предложенная / proposed
Рисунок 9. Спрогнозированные проницаемости по обычной и предложенной архитектурам модели CNN в сопоставлении с проницаемостью, рассчитанной по LBM [21]
Figure 9. Predicted permeabilities by conventional and proposed CNN model architecture vs. LBM calculated permeability [21]
а) обычная / conventional; б) предложенная / proposed
Очевидно, что качество изображений образцов влияет на точность прогноза транспортных свойств горных пород, и оно не всегда является достаточно хорошим. Качество изображений зависит от разрешающей способности сканирующего оборудования, например, рентгеновского микрокомпьютерного томографа или сканирующего электронного микроскопа. В работе [21] приведена методика прогнозирования абсолютной проницаемости пористой среды глубоким машинным обучением на основе её изображения с плохим разрешением. Она основана на совместном использовании CNN и автокодировщика – специальной архитектуры искусственных нейронных сетей, позволяющей применять обучение без учителя при использовании метода обратного распространения ошибки. Как показали результаты, это позволило не только использовать изображения с низким разрешением для прогноза, но и улучшить точность прогноза абсолютной проницаемости (рис. 10).
Рисунок 10. Спрогнозированные проницаемости по обычной и предложенной методике в сопоставлении с истинной проницаемостью [21]
Figure 10. Predicted permeabilities using the conventional and proposed methodologies compared with the true permeability [21]
а) обычная / conventional; б) предложенная / proposed
Расчёт пористости
Пористость описывает вместительную способность пористых сред, которая является основополагающим фактором при оценке проницаемости, извилистости и коэффициента диффузии по различным эмпирическим уравнениям, таким как уравнение Козени-Кармана. Она обычно определяется методом жидкостенасыщения в лабораторных условиях, который занимает немало времени. Машинное обучение может являться инструментом быстрого определения пористости среды с приемлемой точностью. В работе [22] приведены результаты прогнозирования свойств пористой среды, в т.ч. пористости, с применением глубокого машинного обучения на основе двухмерных томографических снимков трёх песчаных образцов. Как показывают результаты, CNN способны прогнозировать пористость песчаных образцов с высокой достоверностью на отфильтрованных и отсегментированных изображениях (рис. 11, а), тогда как прогноз на сырых изображениях приводит к результатам с относительно низкой достоверностью (рис. 11, б). Это означает, что качество снимков образцов горных пород является важным при построении (обучении) модели нейронных сетей.
Рисунок 11. Спрогнозированные пористости по обработанным и необработанным изображениям в сопоставлении с истинной пористостями [22]
Figure 11. Predicted porosities from processed and unprocessed images compared with true porosities [22]
а) обычная / conventional; б) предложенная / proposed
В настоящей статье также приводятся собственные результаты по прогнозированию открытой пористости карбонатных образцов с применением CNN на основе их двухмерных изображений, полученных с помощью рентгеновского микрокомпьютерного томографа. В качестве входных данных для обучения и прогноза были использованы прямоугольные образцы, вырезанные из четырёх цилиндрических карбонатных образцов. Извлечение прямоугольного образца с квадратным поперечным сечением схематически проиллюстрировано на рис. 12. На этом рисунке поровое пространство обозначено темно-синим цветом, окружность и квадрат обозначают поперечное сечение цилиндрического и прямоугольного образцов соответственно (рис. 12, а). Поровое пространство выделенных прямоугольных образцов показано на рис. 13. Построенная модель CNN была обучена и протестирована на изображениях образца 1, затем пористость остальных образцов была спрогнозирована. Трёхмерная модель образца 1 состоит из 2490 изображений.
Рисунок 12. Схематическое изображение процесса выделения прямоугольного образца
Figure 12. Schematic representation of the extraction process of rectangular sample
а) цилиндрический образец / cylindrical sample; б) поперечное сечение образцов / cross-section of the samples; в) выделенный прямоугольный образец / extracted rectangular sample
Рисунок 13. Поровое пространство выделенных прямоугольных образцов
Figure 13. Pore space of extracted rectangular samples
а) образец 1 / sample No. 1; б) образец 2 / sample No. 2; в) образец 3 / sample No. 3; г) образец 4 / sample No. 4
На рис. 13 можно увидеть сильно неоднородную поровую структуру рассмотренных образцов, которая подтверждается распределением осреднённой по поперечному сечению пористости образцов по их длине (рис. 14). Как показано на рис. 14, образцы отличаются разной неоднородностью. Образец 4 имеет относительно низкую пористость по сравнению с другими образцами. Из распределения пористости можно увидеть области с низкой и высокой пористостями, которые указывают на наличие уплотнённых слоёв породы и каверны в структуре образцов.
Рисунок 14. Распределение осреднённой по поперечному сечению пористости рассмотренных образцов по их длине
Figure 14. Distribution of porosity averaged over the cross section of the considered samples along their length
С целью анализа изображений образцов была выбрана CNN с двухмерными изображениями на входе и регрессионным слоем на выходе для прогнозирования пористости. Архитектура CNN представляет собой эффективный инструмент для обработки изображений и может применяться в различных задачах, включая классификацию, обнаружение объектов и регрессию. В данном случае был использован регрессионный слой на выходе модели. Этот слой обычно состоит из одного или нескольких полносвязных слоев, которые преобразуют извлечённые свёрточными слоями признаки в числовые предсказания.
Процесс анализа изображений и прогноза пористости с использованием CNN включает следующие этапы:
- Подготовка данных. Важно правильно подготовить данные перед обучением нейронной сети, включая их масштабирование до одинакового размера и нормализацию значений пикселей. В данном случае изображения были нормализованы до размера 120x120 пикселей (рис. 15), и значения пикселей были масштабированы до 1 или 0 для улучшения обучения.
- Архитектура CNN. CNN состоит из различных слоёв, таких как свёрточные, слои подвыборки, полносвязные слои и слои активации. Архитектура сети определяет количество и последовательность этих слоёв. Например, в данной модели были использованы два свёрточных слоя с функцией активации Relu, слои подвыборки, два полносвязных слоя и регрессионный слой на выходе (рис. 15).
- Обучение сети. Обучение CNN включает в себя передачу обучающих данных в сеть и коррекцию весов нейронов в процессе обратного распространения ошибки. Модель обучалась на образце 1 и тестировалась на других для оценки её производительности.
- Оптимизация архитектуры и параметров управления (гиперпараметры). Были проведены эксперименты с разными архитектурами и гиперпараметрами с целью оптимизации производительности модели. Это включало в себя изменение числа слоёв, размеров фильтров, функций активации, параметров подвыборки и других характеристик сети.
- Регуляризация и управление переобучением. Для предотвращения переобучения модели были применены методы регуляризации, такие как Dropout и L2 регуляризация. Эти методы помогли улучшить способность модели обобщать данные на обучающем наборе.
- Оптимизация функции потерь. Были выбраны подходящие функции потерь, например, среднеквадратичная ошибка, и оптимизаторы, такие как Adam, для эффективного обучения модели.
- Оценка и сравнение результатов. Важно оценить модель с использованием различных метрик, таких как средняя абсолютная ошибка и коэффициент достоверности прогноза, и сравнить её результаты с другими моделями или методами для определения её эффективности.
Использованная архитектура CNN показана на рис. 15. Код написан на языке Python с использованием библиотеки Keras. Общее количество эпох (итерации) обучения составило 25, за которое функции потерь существенно снизились (рис. 16). В качестве функции потерь была взята среднеквадратичная ошибка между прогнозной и истинной пористостями, которая в процессе итерации должна уменьшаться (рис. 16). Как показывает рис. 16, среднеквадратичная ошибка существенно более низкая во время валидации, чем во время теста, т.к. построенная модель CNN сначала всесторонне тестируется, затем дополнительно проверяется во время валидации.
Рисунок 15. Архитектура построенной модели CNN
Figure 15. CNN architecture
Рисунок 16. Изменение функции потерь во время теста и валидации
Figure 16. Changing the loss function during test and validation
На рис. 17 показаны результаты прогнозирования открытой пористости образцов 2–4 с помощью построенной модели CNN в сравнении с истинными пористостями. Как показывает рис. 17, CNN прогнозировал пористость образцов 2–4 с высокой точностью, несмотря на то, что построенная модель CNN была обучена и тестирована только по изображениям образца 1, коэффициент достоверности для которых составил 0,936–0,976. Из данного рисунка также можно заметить, что машинное обучение способно различать неоднородную структуру образцов, что спрогнозированная пористость в точности повторяет истинную пористость по длине рассмотренных образцов. Это означает, что глубокое машинное обучение может являться хорошим инструментом для быстрого расчёта свойств образцов горных пород с приемлемой точностью на основе их снимков, полученных одним из методов сканирования материалов.
Рисунок 17. Спрогнозированная и истинная пористости образцов
Figure 17. Predicted and true porosity of samples
а) образец 2 / sample No. 2; б) образцы 3 и 4 / samples No. 3,4
Светлыми линиями показана спрогнозированная пористость, темными – истинная (темные линии).
Light lines show predicted porosity, dark lines show true porosity (dark lines)
Заключение
На основе проведенного обзора литературы можем заключить, что изображения образцов горных пород, полученные с помощью тех или иных методов сканирования, позволяют вычислять их транспортные свойства с применением глубокого машинного обучения с высокой достоверностью, причём за существенно короткое время. Это означает, что глубокое машинное обучение может являться хорошим инструментом для расчёта свойств образцов горных пород на основе их снимков, полученных одним из методов сканирования материалов. CNN являются основным алгоритмом глубокого машинного обучения для данной задачи. Тем не менее, отметим также и следующие выводы:
1) Глубокое машинное обучение может быть применено для прогноза свойств образцов с различной поровой структурой (трещиноватые, неоднородные и кавернозные карбонатные и песчаные породы);
2) Глубокое машинное обучение позволяет существенно (с нескольких десятков часов до нескольких секунд) сократить время расчёта транспортных свойств образцов горных пород по сравнению с решеточным методом Больцмана (LBM);
3) Модели глубокого машинного обучения с дополнительными опциями позволяют прогнозировать свойства образцов на основе их изображений низкого качества;
4) CNN лучше предсказывает проницаемость пород по сравнению с регрессионными методами машинного обучения;
5) В общем случае CNN лучше предсказывает свойства песчаных образцов, чем свойства карбонатных образцов, из-за сложной поровой структуры последних;
6) CNN способен распознать пространственную неоднородность пористости образцов при обучении, которая учитывается при прогнозировании.
ДОПОЛНИТЕЛЬНО
Источник финансирования. Данное исследование было профинансировано Комитетом Науки Министерства науки и высшего образования Республики Казахстан в рамках проекта BR18574136 «Развитие методов глубокого обучения и интеллектуального анализа для решения сложных задач механики и робототехники».
Конфликт интересов. Авторы декларируют отсутствие явных и потенциальных конфликтов интересов, связанных с публикацией настоящей статьи.
Вклад авторов. Все авторы подтверждают соответствие своего авторства международным критериям ICMJE (все авторы внесли существенный вклад в разработку концепции, проведение исследования и подготовку статьи, прочли и одобрили финальную версию перед публикацией). Вклад распределён следующий образом: Асилбеков Б.К. – обзор методов машинного обучения, разработка модели глубокого машинного обучения, анализ результатов обзора и расчётов, написание рукописи, Калжанов Н.Е. – разработка модели глубокого машинного обучения, прогнозирование пористости образцов, Бекбау Б.Е. – обзор методов машинного обучения по определению абсолютной проницаемости и пористости, написание рукописи, Болысбек Д.А. – обработка данных с микрокомпьютерной томографии, построение трёхмерной цифровой модели цилиндрических образцов.
ADDITIONAL INFORMATION
Funding source. This study was funded by the Committee of Science of the Ministry of Science and Higher Education of the Republic of Kazakhstan under the project BR18574136 “Development of deep learning and predictive analysis methods for solving complex problems in mechanics and robotics”.
Competing interests. The authors declare that they have no competing interests.
Authors’ contribution. All authors confirm that their authorship meets the international ICMJE criteria (all authors made a significant contribution to the development of the concept, conduct of the study and preparation of the article, read and approved the final version before publication). The contribution is distributed as follows: Bakytzhan K. Assilbekov – review of machine learning methods, development of deep learning algorithm, analysis of review results and calculations, writing the manuscript; Nurlykhan Ye. Kalzhanov – development of deep learning algorithm, prediction of sample porosity; Bakbergen Bekbau – review of machine learning methods on determining absolute permeability and porosity, writing the manuscript; Darezhat A. Bolysbek – processing data from microcomputed tomography, building a three-dimensional digital model of cylindrical samples.
About the authors
Bakytzhan K. Assilbekov
U.A. Joldasbekov Institute of Mechanics and Engineering; Satbayev University
Email: assibekov.b@gmail.com
ORCID iD: 0000-0002-0368-0131
PhD
Kazakhstan, Almaty; AlmatyNurlykhan E. Kalzhanov
KBTU BIGSoft; Al-Farabi Kazakh National University
Email: nurkal022@gmail.com
ORCID iD: 0009-0008-5776-0971
Kazakhstan, Almaty; Almaty
Bakbergen E. Bekbau
Satbayev University
Email: bakbergen.bekbau@gmail.com
ORCID iD: 0000-0003-2410-1626
PhD
Kazakhstan, AlmatyDarezhat A. Bolysbek
U.A. Joldasbekov Institute of Mechanics and Engineering; Satbayev University
Author for correspondence.
Email: bolysbek.darezhat@gmail.com
ORCID iD: 0000-0001-8936-3921
Kazakhstan, Almaty; Almaty
References
- Rajalingam B, Priya R. Multimodal Medical Image Fusion based on Deep Learning Neural Network for Clinical Treatment Analysis. Int J ChemTech Res. 2018;11(6):160–176. doi: 10.20902/IJCTR.2018.110621.
- Cicceri G, Inserra G, Limosani M. A Machine Learning Approach to Forecast Economic Recessions – An Italian Case Study. Mathematics. 2020;8(2). doi: 10.3390/math8020241.
- Yoon J. Forecasting of Real GDP Growth Using Machine Learning Models: Gradient Boosting and Random Forest Approach. Comput Econ. 2021;57(1):247–265. doi: 10.1007/s10614-020-10054-w.
- Gholami R, Shahraki AR, Jamali Paghaleh M. Prediction of Hydrocarbon Reservoirs Permeability Using Support Vector Machine. Math Probl Eng. 2012:1–18. doi: 10.1155/2012/670723.
- Waszkiewicz S, Krakowska-Madejska P, Puskarczyk E. Estimation of absolute permeability using artificial neural networks (multilayer perceptrons) based on well logs and laboratory data from Silurian and Ordovician deposits in SE Poland. Acta Geophys. 2019;67:1885–1894. doi: 10.1007/s11600-019-00347-6.
- Tembely M, AlSumaiti AM, Alameri W. A deep learning perspective on predicting permeability in porous media from network modeling to direct simulation. Comput. Geosci. 2020;24(4):1541–1556. doi: 10.1007/s10596-020-09963-4.
- Xuan YM, Zhao K, Li Q. Investigation on mass diffusion process in porous media based on Lattice Boltzmann method. Heat Mass Transf. 2010;46(10):1039–1051. doi: 10.1007/s00231-010-0687-2.
- Wang Y, Lin G. Efficient deep learning techniques for multiphase flow simulation in heterogeneous porousc media. J Comput Phys. 2020;401. doi: 10.1016/j.jcp.2019.108968.
- Santos JE, Xu D, Jo H, et al. PoreFlow-Net: A 3D convolutional neural network to predict fluid flow through porous media. Adv Water Resour. 2020;138. doi: 10.1016/j.advwatres.2020.103539.
- Da Wang Y, Blunt MJ, Armstrong RT, Mostaghimi P. Deep learning in pore scale imaging and modeling. Earth-Science Rev. 2021;215. doi: 10.1016/j.earscirev.2021.103555.
- Bolysbek DA, Kulzhabekov AB, Bekbau B, Uzbekaliyev KS. Study of the pore structure and calculation of macroscopic characteristics of rocks based on X-ray microcomputed tomography images. Kazakhstan J oil gas Ind. 2023;5(2):17–30. doi: 10.54859/kjogi108647. (In Russ).
- Tian J, Qi C, Sun Y, et al. Permeability prediction of porous media using a combination of computational fluid dynamics and hybrid machine learning methods. Eng Comput. 2021;37:3455–3471. doi: 10.1007/s00366-020-01012-z.
- Graczyk KM, Matyka M. Predicting porosity, permeability, and tortuosity of porous media from images by deep learning. Sci Rep. 2020;10. doi: 10.1038/s41598-020-78415-x.
- Caglar B, Broggi G, Ali MA, et al. Deep learning accelerated prediction of the permeability of fibrous microstructures. Compos Part A Appl Sci Manuf. 2022;158. doi: 10.1016/j.compositesa.2022.106973.
- Araya-Polo M, Alpak FO, Hunter S, et al. Deep learning–driven permeability estimation from 2D images. Comput Geosci. 2020;24:571–580. doi: 10.1007/s10596-019-09886-9.
- Wang H, Yin Y, Hui XY, et al. Prediction of effective diffusivity of porous media using deep learning method based on sample structure information self-amplification. Energy AI. 2020;2. doi: 10.1016/j.egyai.2020.100035.
- Tembely M, AlSumaiti AM, Alameri WS. Machine and deep learning for estimating the permeability of complex carbonate rock from X-ray micro-computed tomography. Energy Reports. 2021;7:1460–1472. doi: 10.1016/j.egyr.2021.02.065.
- Wu H, Fang W-Z, Kang Q, et al. Predicting Effective Diffusivity of Porous Media from Images by Deep Learning. Sci Rep. 2019;9. doi: 10.1038/s41598-019-56309-x.
- Graczyk KM, Strzelczyk D, Matyka M. Deep learning for diffusion in porous media. Sci Rep. 2023;13. doi: 10.1038/s41598-023-36466-w.
- Tang P, Zhang D, Li H. Predicting permeability from 3D rock images based on CNN with physical information. J Hydrol. 2022;606. doi: 10.1016/j.jhydrol.2022.127473.
- Zhang H, Yu H, Yuan X, et al. Permeability prediction of low-resolution porous media images using autoencoder-based convolutional neural network. J Pet Sci Eng. 2022;208. doi: 10.1016/j.petrol.2021.109589.
- Alqahtani N, Alzubaidi F, Armstrong RT, et al. Machine learning for predicting properties of porous media from 2d X-ray images. J Pet Sci Eng. 2020;184. doi: 10.1016/j.petrol.2019.106514.
Supplementary files









